Dzidni S
17 November 2024 03:44
Iklan
Dzidni S
17 November 2024 03:44
Pertanyaan
1
1
Iklan
W. Lestari
Mahasiswa/Alumni Universitas Sriwijaya
18 November 2024 03:05
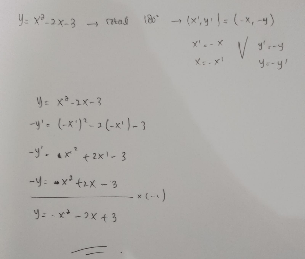
Jawaban : y = -x2 - 2x + 3
Perhatikan pembahasan pada gambar yang dilampirkan ya^^

· 5.0 (1)
Iklan
Tanya ke AiRIS
Yuk, cobain chat dan belajar bareng AiRIS, teman pintarmu!

LATIHAN SOAL GRATIS!
Drill Soal
Latihan soal sesuai topik yang kamu mau untuk persiapan ujian


Perdalam pemahamanmu bersama Master Teacher
di sesi Live Teaching, GRATIS!