Dea N
23 Agustus 2024 13:23
Iklan
Dea N
23 Agustus 2024 13:23
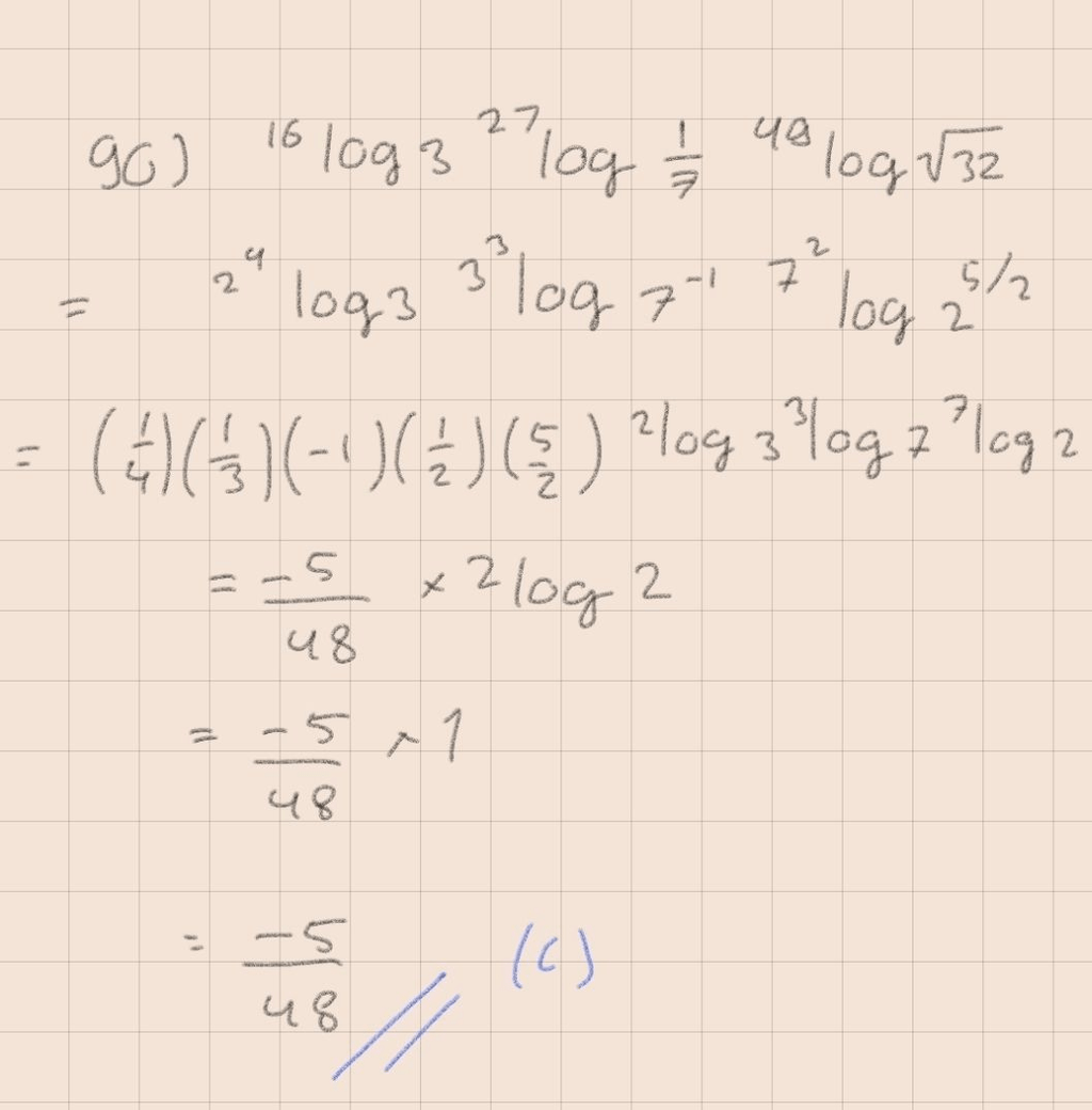
Pertanyaan
kakak tolonggg bantu jawab secepatnya!!!!!

1
1
Iklan
Karana P
24 Agustus 2024 01:37
Semoga membantu :D

· 5.0 (1)
Iklan
Tanya ke AiRIS
Yuk, cobain chat dan belajar bareng AiRIS, teman pintarmu!

LATIHAN SOAL GRATIS!
Drill Soal
Latihan soal sesuai topik yang kamu mau untuk persiapan ujian


Perdalam pemahamanmu bersama Master Teacher
di sesi Live Teaching, GRATIS!