Athina A
02 September 2024 13:46
Iklan
Athina A
02 September 2024 13:46
Pertanyaan
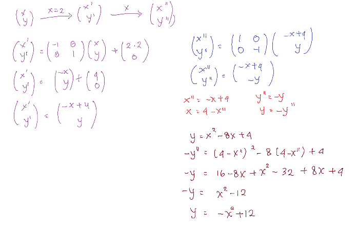
Jika parabola y= x²-8x+4 dicerminkan terhadap garis x=2 kemudian dicerminkan terhadap sumbu- x, maka persamaan parabola yang baru adalah...

51
1
Iklan
Jay J
02 September 2024 14:07
Jawab

· 4.8 (4)
Iklan
Tanya ke AiRIS
Yuk, cobain chat dan belajar bareng AiRIS, teman pintarmu!

LATIHAN SOAL GRATIS!
Drill Soal
Latihan soal sesuai topik yang kamu mau untuk persiapan ujian


Perdalam pemahamanmu bersama Master Teacher
di sesi Live Teaching, GRATIS!