Priska O
26 Juli 2025 14:04
Iklan
Priska O
26 Juli 2025 14:04
Pertanyaan
Jawaban nya berapa

5
1
Iklan
Patrick H
29 Juli 2025 11:30
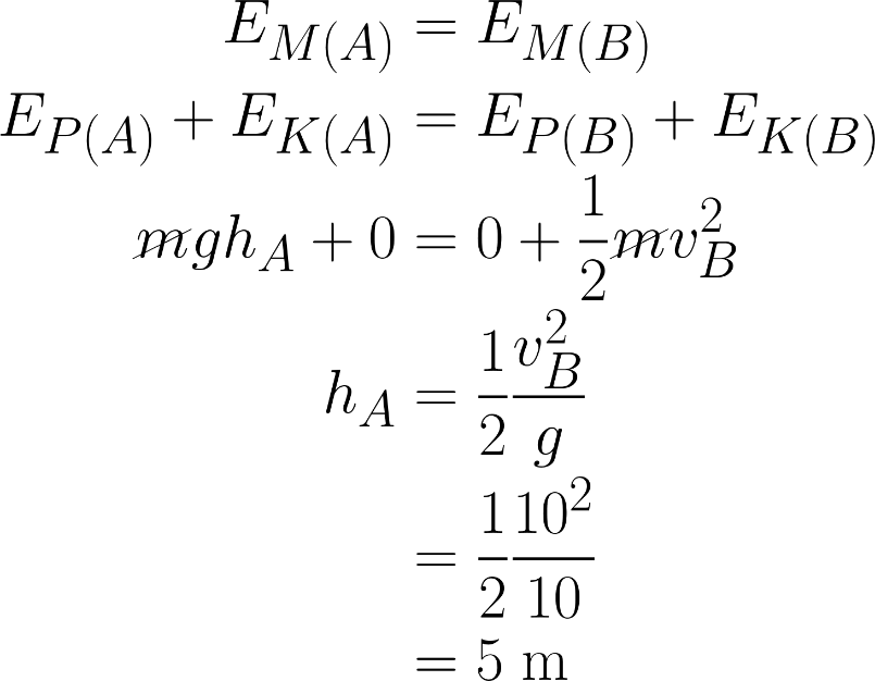
Pada kasus ini, berlaku hukum konservasi energi mekanik. Karena permukaan licin, kita bisa bahwa total energi mekanik benda sepanjang lintasan tetap/konstan, sehingga energi mekanik benda di titik A sama dengan energi mekanik benda di titik B.
Ingat bahwa energi mekanik adalah jumlah dari energi kinetik dan energi potensial:
EM = EK + EP
*Proses penghitungan terlampir

· 0.0 (0)
Iklan
Tanya ke AiRIS
Yuk, cobain chat dan belajar bareng AiRIS, teman pintarmu!

LATIHAN SOAL GRATIS!
Drill Soal
Latihan soal sesuai topik yang kamu mau untuk persiapan ujian


Perdalam pemahamanmu bersama Master Teacher
di sesi Live Teaching, GRATIS!