Callysta A
03 Desember 2025 12:21
Iklan
Callysta A
03 Desember 2025 12:21
Pertanyaan
Jawaban lebih dari satu!

2
1
Iklan
Linar A
09 Desember 2025 11:44
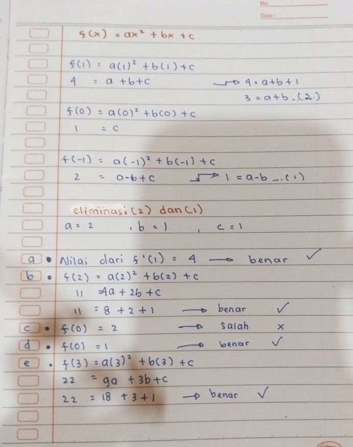
semuanya benar kecuali pernyatan f(0) = 2

· 0.0 (0)
Iklan
Tanya ke AiRIS
Yuk, cobain chat dan belajar bareng AiRIS, teman pintarmu!

LATIHAN SOAL GRATIS!
Drill Soal
Latihan soal sesuai topik yang kamu mau untuk persiapan ujian


Perdalam pemahamanmu bersama Master Teacher
di sesi Live Teaching, GRATIS!