Taqiy F

05 Agustus 2025 02:09
Iklan
Taqiy F

05 Agustus 2025 02:09
Pertanyaan
Ini gimana yaa cara ngerjain nya ?

3
3
Iklan
E. Nur
06 Agustus 2025 01:17
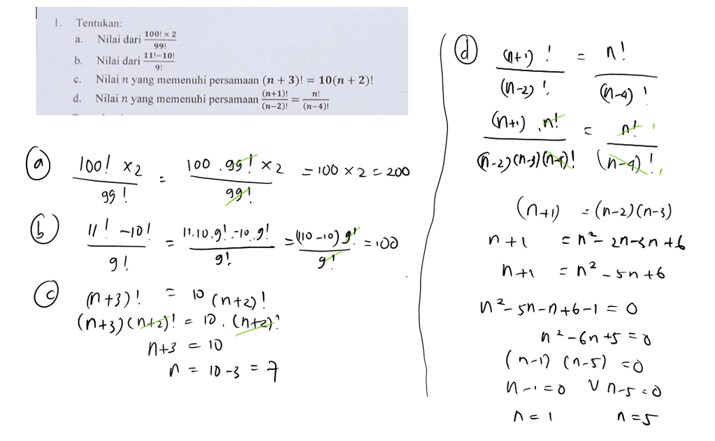
Pembahasan pada gambar terlampir
· 4.8 (4)
Taqiy F

07 Agustus 2025 16:19
terimakasih banyakk kak nur
Iklan
Ilaaa I
05 Agustus 2025 03:30
jawabannya terlampir pada foto...
penjelasan tambahan untuk soal nomor d.
alasan kenapa n = 5 yaitu pada persamaan awal ada n - 2 dan n - 4. yang artinya n ≥ 4 agar tidak negatif...
karena ditemukan n = 5 atau 1
jika yang digunakan adalah n = 1 maka, (n - 4) = (1 - 4)! = -3!, hasilnya negatif.
jika yang digunakan adalah n = 5 maka, (n - 4) = (5 - 4)! = 1!, hasilnya positif dan bisa digunakan.
jadi jawabannya n = 5

· 5.0 (4)
Taqiy F

05 Agustus 2025 06:00
terimakasihh
Jendryanto B
06 Agustus 2025 06:49
.
· 1.0 (1)
Tanya ke AiRIS
Yuk, cobain chat dan belajar bareng AiRIS, teman pintarmu!

LATIHAN SOAL GRATIS!
Drill Soal
Latihan soal sesuai topik yang kamu mau untuk persiapan ujian


Perdalam pemahamanmu bersama Master Teacher
di sesi Live Teaching, GRATIS!