Raisa M

02 September 2025 05:59
Iklan
Raisa M

02 September 2025 05:59
Pertanyaan
ini cara mengerjakannya bagaimana ya?

3
3
Iklan
E. Nur
03 September 2025 00:36
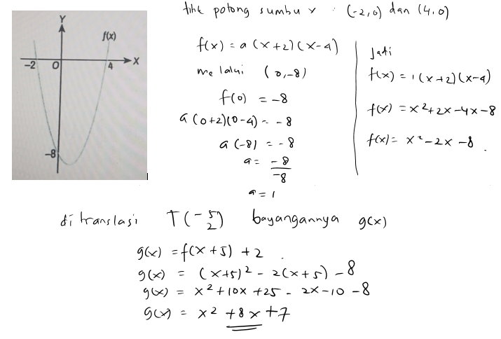
Pembahasan pada gambar terlampir
· 0.0 (0)
Iklan
Panji P
06 September 2025 06:27
.
· 0.0 (0)
Ahmad M
07 September 2025 07:16
Enggak tau
· 0.0 (0)
Tanya ke AiRIS
Yuk, cobain chat dan belajar bareng AiRIS, teman pintarmu!

LATIHAN SOAL GRATIS!
Drill Soal
Latihan soal sesuai topik yang kamu mau untuk persiapan ujian


Perdalam pemahamanmu bersama Master Teacher
di sesi Live Teaching, GRATIS!