Maisyah A
28 Oktober 2021 13:47
Iklan
Maisyah A
28 Oktober 2021 13:47
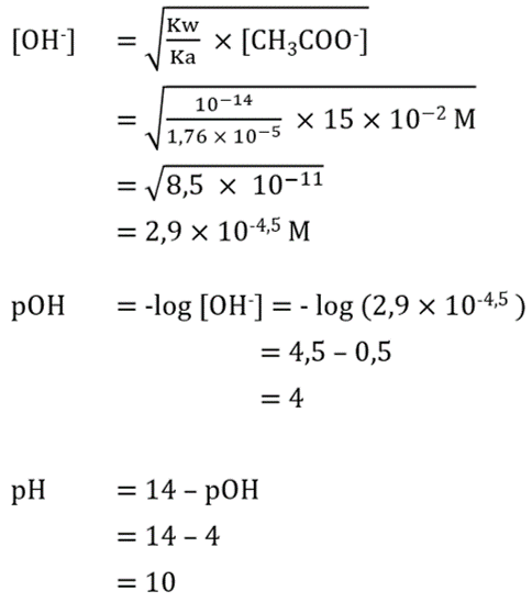
Pertanyaan
1
1
Iklan
I. Wulandari
Mahasiswa/Alumni Universitas Sebelas Maret
13 Januari 2022 05:53

· 5.0 (1)
Iklan
Tanya ke AiRIS
Yuk, cobain chat dan belajar bareng AiRIS, teman pintarmu!
Roboguru Plus
Dapatkan pembahasan soal ga pake lama, langsung dari Tutor!


Perdalam pemahamanmu bersama Master Teacher
di sesi Live Teaching, GRATIS!