Luckyca L
07 Februari 2024 16:58
Iklan
Luckyca L
07 Februari 2024 16:58
Pertanyaan
Help help help

1
2
Iklan
Tjendana T

Community
08 Februari 2024 02:03
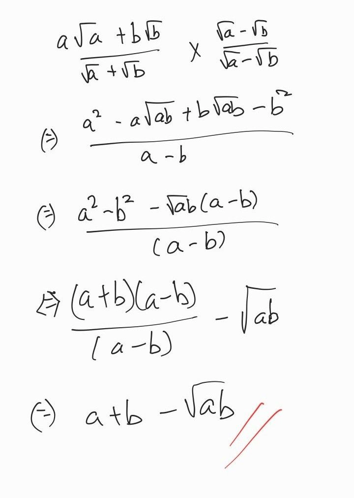
Jawaban A.
Pembahasan
Rasionalkan penyebut dgn perkalian akar sekawan
Lihat pd foto terlampir cara penyelesaiannya

· 0.0 (0)
Iklan
Kiki K
08 Februari 2024 00:05
· 5.0 (1)
Kiki K
08 Februari 2024 00:06
Semangat
Tanya ke AiRIS
Yuk, cobain chat dan belajar bareng AiRIS, teman pintarmu!

LATIHAN SOAL GRATIS!
Drill Soal
Latihan soal sesuai topik yang kamu mau untuk persiapan ujian


Perdalam pemahamanmu bersama Master Teacher
di sesi Live Teaching, GRATIS!