Jihan T
01 Januari 2026 04:58
Iklan
Jihan T
01 Januari 2026 04:58
Pertanyaan
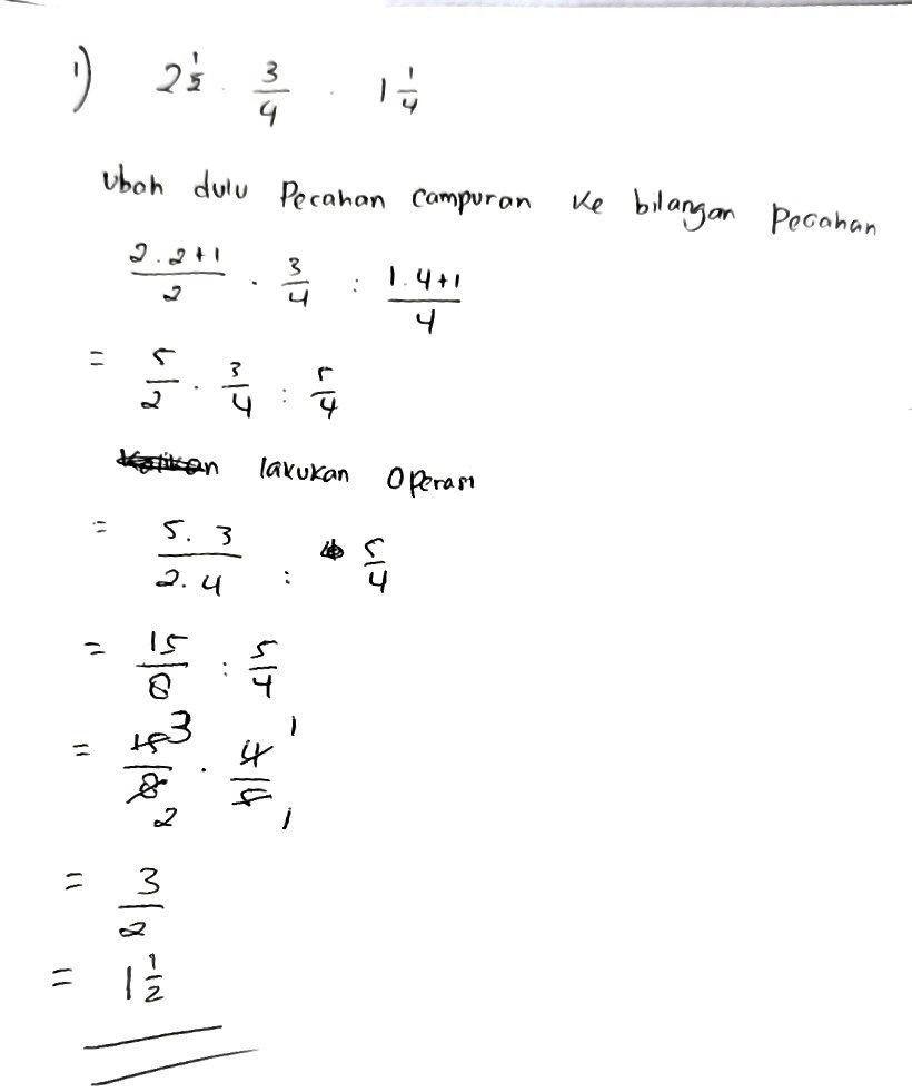
hasil dari 2 1/2 × 3/4 ÷ 1 1/4
19
2
Iklan
Irsyad W
01 Januari 2026 07:25
2 1/2 × 3/4 : 1 1/4 = 5/2 × 3/4 : 5/4 = 15/8 × 4/5 = 60/40 : 6/4 = 3/2
Mohon maaf apabila ada kesalahan 🙏
· 5.0 (1)
Iklan
Candra D
01 Januari 2026 23:47
Semoga membantu

· 0.0 (0)
Tanya ke AiRIS
Yuk, cobain chat dan belajar bareng AiRIS, teman pintarmu!

LATIHAN SOAL GRATIS!
Drill Soal
Latihan soal sesuai topik yang kamu mau untuk persiapan ujian


Perdalam pemahamanmu bersama Master Teacher
di sesi Live Teaching, GRATIS!