Shafia A
29 September 2024 14:47
Iklan
Shafia A
29 September 2024 14:47
Pertanyaan
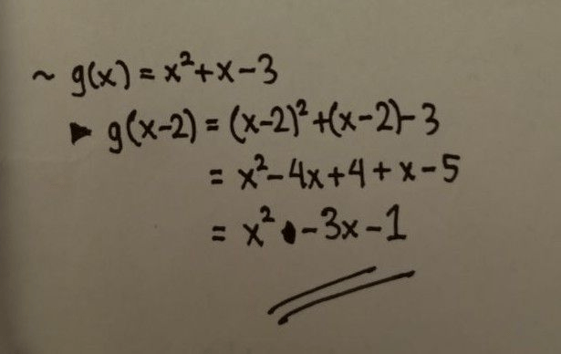
g(x)= x²+x-3 tentukan rumus fungsi g (x-2)

2
1
Iklan
Samudra A

Community
29 September 2024 14:55
ini ya le
~atmin

· 0.0 (0)
Iklan
Tanya ke AiRIS
Yuk, cobain chat dan belajar bareng AiRIS, teman pintarmu!

LATIHAN SOAL GRATIS!
Drill Soal
Latihan soal sesuai topik yang kamu mau untuk persiapan ujian


Perdalam pemahamanmu bersama Master Teacher
di sesi Live Teaching, GRATIS!