Prameswari M
27 Oktober 2025 01:46
Iklan
Prameswari M
27 Oktober 2025 01:46
Pertanyaan
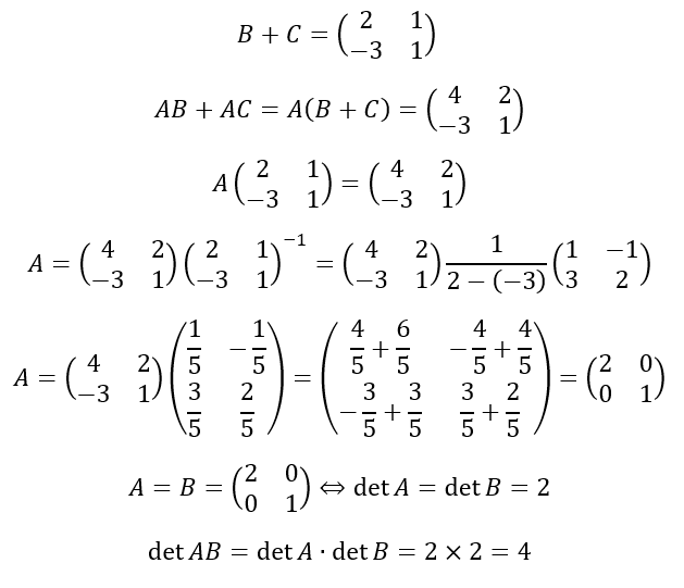
bisa tolong kerjakan dan langkah²nya secara detail???🥺🥺🥺. thanks yaa

1
2
Iklan
Muhammad R
27 Oktober 2025 07:39
CMIIW, Semoga Membantu

· 0.0 (0)
Iklan
Alya P
27 Oktober 2025 13:57
semoga membantu

· 0.0 (0)
Tanya ke AiRIS
Yuk, cobain chat dan belajar bareng AiRIS, teman pintarmu!

LATIHAN SOAL GRATIS!
Drill Soal
Latihan soal sesuai topik yang kamu mau untuk persiapan ujian


Perdalam pemahamanmu bersama Master Teacher
di sesi Live Teaching, GRATIS!