Karissa M
18 Oktober 2025 07:55
Iklan
Karissa M
18 Oktober 2025 07:55
Pertanyaan
Berapa jumlah akar real dari Q?

11
2
Iklan
Muhammad R
18 Oktober 2025 10:19
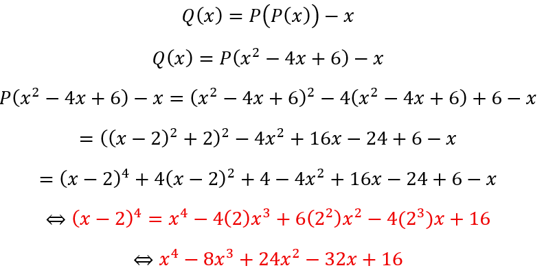
Berdasarkan penjabaran pada gambar di bawah, diperoleh bahwa Q(x) merupakan polinom dengan derajat 4
Pada polinom dengan derajat 4, jumlah akar-akar
x1+x2+x3+x4 = -b/a= -(-8)/1 = 8 (E)
CMIIW

· 0.0 (0)
Iklan
Scarlett A
18 Oktober 2025 12:57
Jawabannya e. 8
· 0.0 (0)
Scarlett A
18 Oktober 2025 13:44
Berdasarkan penjabaran pada gambar di bawah, diperoleh bahwa Q(x) merupakan polinom dengan derajat 4 Pada polinom dengan derajat 4, jumlah akar-akar x1+x2+x3+x4 = -b/a= -(-8)/1 = 8 (E) CMIIW alt
Tanya ke AiRIS
Yuk, cobain chat dan belajar bareng AiRIS, teman pintarmu!

LATIHAN SOAL GRATIS!
Drill Soal
Latihan soal sesuai topik yang kamu mau untuk persiapan ujian


Perdalam pemahamanmu bersama Master Teacher
di sesi Live Teaching, GRATIS!