Keysaaa R

24 Juli 2025 10:24
Iklan
Keysaaa R

24 Juli 2025 10:24
Pertanyaan
Bantu jawab

1
3
Iklan
E. Nur
25 Juli 2025 00:09
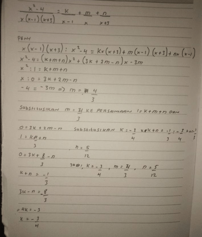
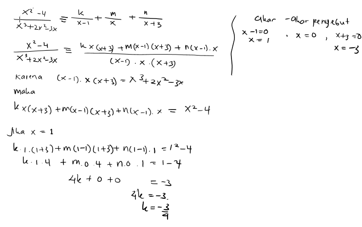
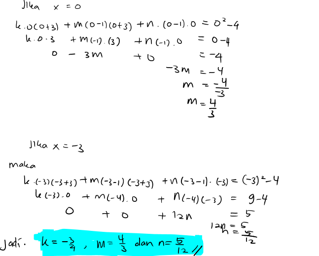
Pembahasan pada gambar terlampir
· 3.7 (3)
Iklan
Sri W
25 Juli 2025 07:46
Boleh Dikoleksi

· 3.0 (2)
Nadjwa A
02 Agustus 2025 12:03
koreksi bang bukan koleksi🥹🥲
NZR N
27 Juli 2025 03:55
Sorry bang, gw kurang paham 😁
· 5.0 (1)
Tanya ke AiRIS
Yuk, cobain chat dan belajar bareng AiRIS, teman pintarmu!

LATIHAN SOAL GRATIS!
Drill Soal
Latihan soal sesuai topik yang kamu mau untuk persiapan ujian


Perdalam pemahamanmu bersama Master Teacher
di sesi Live Teaching, GRATIS!