Ahmad A

13 Agustus 2024 04:34
Iklan
Ahmad A

13 Agustus 2024 04:34
Pertanyaan
Bantu dong master teacher

1
1
Iklan
BimBim B
13 Agustus 2024 08:09
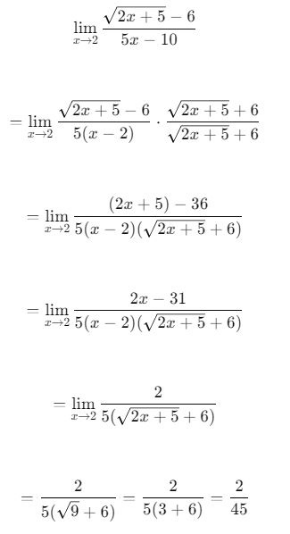
Penjelasan
terlampir

· 0.0 (0)
Iklan
Tanya ke AiRIS
Yuk, cobain chat dan belajar bareng AiRIS, teman pintarmu!

LATIHAN SOAL GRATIS!
Drill Soal
Latihan soal sesuai topik yang kamu mau untuk persiapan ujian


Perdalam pemahamanmu bersama Master Teacher
di sesi Live Teaching, GRATIS!