Lief Z
30 April 2024 00:29
Iklan
Lief Z
30 April 2024 00:29
Pertanyaan
Amati, tiru, plek ketiplek, bantu jawab 🥺🥺🥺🥺

2
2
Iklan
Mercon M

Community
30 April 2024 00:54
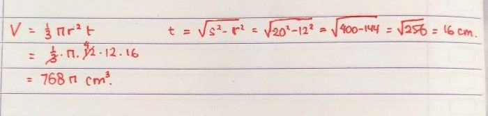
Jawabannya adalah 768π cm³
Pembahasan:
tinggi = √20² - 12²
= √400 - 144
= √256
= 16 cm
v = 1/3 × π × 12² × 16
= 1/3 × π × 144 × 16
= 768π cm³
· 5.0 (4)
Iklan
Nanda R

Community
30 April 2024 01:04
jawabannya adalah

· 0.0 (0)
Tanya ke AiRIS
Yuk, cobain chat dan belajar bareng AiRIS, teman pintarmu!

LATIHAN SOAL GRATIS!
Drill Soal
Latihan soal sesuai topik yang kamu mau untuk persiapan ujian


Perdalam pemahamanmu bersama Master Teacher
di sesi Live Teaching, GRATIS!