Sabrina P
19 November 2025 04:16
Iklan
Sabrina P
19 November 2025 04:16
Pertanyaan
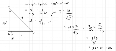
2. Diketahui segitiga ABC siku-siku di B dengan ∠A=30° dan AB = 18 cm. Hitunglah panjang AC dan BC!
6
2
Iklan
Muhammad R
19 November 2025 08:45
sin 30 deg = BC / A * C BC = 18 * 1 / 2 = 9 cm 1/2 = BC / 18
A * B ^ 2 = A * C ^ 2 - B * C ^ 2
= 182 92
= 324-81
= 243
AB = sqrt(243)
= sqrt(81 * 3)
= 9sqrt(3) * cm
· 5.0 (1)
Iklan
Rizka A
21 November 2025 01:42
Semoga membantu ya


· 0.0 (0)
Tanya ke AiRIS
Yuk, cobain chat dan belajar bareng AiRIS, teman pintarmu!

LATIHAN SOAL GRATIS!
Drill Soal
Latihan soal sesuai topik yang kamu mau untuk persiapan ujian


Perdalam pemahamanmu bersama Master Teacher
di sesi Live Teaching, GRATIS!