Diana R
12 Agustus 2025 11:59
Iklan
Diana R
12 Agustus 2025 11:59
Pertanyaan
3
2
Iklan
E. Nur
13 Agustus 2025 05:52
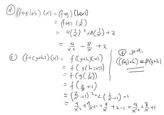
Pembahasan pada gambar terlampir
· 5.0 (1)
Diana R
13 Agustus 2025 05:56
Terima kasih banyak kaka Nurrr🩷🩷🩷
Iklan
Miftah F
12 Agustus 2025 12:05
Yo menekutehe tanya sama yang pinter maaf soalnya aku pusing lihat angka aku masih kelas 5 🙏
· 0.0 (0)
Diana R
12 Agustus 2025 12:32
kalau gatau gausah dijawab.
Tanya ke AiRIS
Yuk, cobain chat dan belajar bareng AiRIS, teman pintarmu!

LATIHAN SOAL GRATIS!
Drill Soal
Latihan soal sesuai topik yang kamu mau untuk persiapan ujian


Perdalam pemahamanmu bersama Master Teacher
di sesi Live Teaching, GRATIS!