Iklan

Pertanyaan

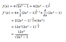
Turunan pertama dari fungsi f ( x ) = 4√2 x 3 − 1 adalah...

Turunan pertama dari fungsi adalah...

  1. fraction numerator 4 over denominator √ left parenthesis 2 x cubed minus 1 right parenthesis end fraction

  2. fraction numerator 12 over denominator √ left parenthesis 2 x cubed minus 1 right parenthesis end fraction

  3. fraction numerator 4 x over denominator √ left parenthesis 2 x cubed minus 1 right parenthesis end fraction

  4. fraction numerator 6 x squared over denominator √ left parenthesis 2 x cubed minus 1 right parenthesis end fraction

  5. fraction numerator 12 x squared over denominator √ left parenthesis 2 x cubed minus 1 right parenthesis end fraction

Ikuti Tryout SNBT & Menangkan E-Wallet 100rb

Habis dalam

00

:

19

:

55

:

13

Klaim

Iklan

A. Nadhira

Master Teacher

Mahasiswa/Alumni Universitas Negeri Malang

Jawaban terverifikasi

Pembahasan

Perdalam pemahamanmu bersama Master Teacher
di sesi Live Teaching, GRATIS!

5

Iklan

Pertanyaan serupa

Turunan pertama dari fungsi f yang ditentukan oleh f ( x ) = ( 2 − 3 x ) 3 5 ​ adalah...

1

5.0

Jawaban terverifikasi

RUANGGURU HQ

Jl. Dr. Saharjo No.161, Manggarai Selatan, Tebet, Kota Jakarta Selatan, Daerah Khusus Ibukota Jakarta 12860

Coba GRATIS Aplikasi Roboguru

Coba GRATIS Aplikasi Ruangguru

Download di Google PlayDownload di AppstoreDownload di App Gallery

Produk Ruangguru

Hubungi Kami

Ruangguru WhatsApp

+62 815-7441-0000

Email info@ruangguru.com

[email protected]

Contact 02130930000

02130930000

Ikuti Kami

©2025 Ruangguru. All Rights Reserved PT. Ruang Raya Indonesia