Iklan

Pertanyaan

Tuliskan rumus struktur dan kegunaan dari senyawa turunan benzena berikut! b. Toluena

Tuliskan rumus struktur dan kegunaan dari senyawa turunan benzena berikut!

b. Toluena

  1. ...

  2. ...

Ikuti Tryout SNBT & Menangkan E-Wallet 100rb

Habis dalam

01

:

23

:

45

:

18

Klaim

Iklan

S. Lubis

Master Teacher

Jawaban terverifikasi

Pembahasan

Pembahasan
lock

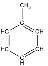
Toluena adalah cairan bening tak berwarna yang tak larut dalam air. Toluena atau dikenal sebagai metilbenzena atau fenil benzena. Berikut adalah gambar dari Toluena Kegunaan dari toluena sebagai pelarut dan sebagai bahan dasar untuk membuat TNT (Trinitrotoluena) senyawa yang digunakan sebagai bahan peledak (dinamit).

Toluena adalah cairan bening tak berwarna yang tak larut dalam air. Toluena atau dikenal sebagai metilbenzena atau fenil benzena. Berikut adalah gambar dari Toluena
 



Kegunaan dari toluena sebagai pelarut dan sebagai bahan dasar untuk membuat TNT (Trinitrotoluena) senyawa yang digunakan sebagai bahan peledak (dinamit).

Perdalam pemahamanmu bersama Master Teacher
di sesi Live Teaching, GRATIS!

1

Iklan

Iklan

RUANGGURU HQ

Jl. Dr. Saharjo No.161, Manggarai Selatan, Tebet, Kota Jakarta Selatan, Daerah Khusus Ibukota Jakarta 12860

Coba GRATIS Aplikasi Roboguru

Coba GRATIS Aplikasi Ruangguru

Download di Google PlayDownload di AppstoreDownload di App Gallery

Produk Ruangguru

Hubungi Kami

Ruangguru WhatsApp

+62 815-7441-0000

Email info@ruangguru.com

[email protected]

Contact 02130930000

02130930000

Ikuti Kami

©2026 Ruangguru. All Rights Reserved PT. Ruang Raya Indonesia