Iklan

Pertanyaan

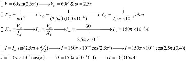
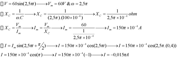
Suatu rangkaian kapasitif murni diberikan tegangan bolak–balik yang sesuai dengan fungsi: V = 60 sin ( 2 , 5 π t ) V =60 sin (2,5 πt ) , dengan t dalam sekon. Jika kapasitansi kapasitor adalah 100 μF, maka arus yang mengalir ketika t = 0,4 s adalah ...

Suatu rangkaian kapasitif murni diberikan tegangan bolak–balik yang sesuai dengan fungsi:   , dengan t dalam sekon. Jika kapasitansi kapasitor adalah 100 μF, maka arus yang mengalir ketika t = 0,4 s adalah ...

  1. begin mathsize 12px style negative 0 comma 015 square root of 3 space pi space A end style

  2. begin mathsize 12px style negative 0 comma 015 square root of 2 space pi space A end style

  3. begin mathsize 12px style negative 0 comma 015 pi space A end style

  4. begin mathsize 12px style negative 0 comma 0015 square root of 2 space pi space A end style

  5. begin mathsize 12px style negative 0 comma 0015 pi space A end style

Ikuti Tryout SNBT & Menangkan E-Wallet 100rb

Habis dalam

01

:

08

:

11

:

22

Klaim

Iklan

R. Amalia

Master Teacher

Mahasiswa/Alumni Universitas Padjadjaran

Jawaban terverifikasi

Jawaban

jawabannya adalah C .

jawabannya adalah C.

Pembahasan

Jadi, jawabannya adalah C .

 

Jadi, jawabannya adalah C.

Perdalam pemahamanmu bersama Master Teacher
di sesi Live Teaching, GRATIS!

1

Jesslyn Ivana Rumengan

Pembahasan lengkap banget Mudah dimengerti Makasih ❤️

Iklan

Pertanyaan serupa

Rangkaian RLC seri dirangkaikan seperti pada gambar. Diketahui nilai R = 8Ω R = 8 Ω , L = 32 mH C = 800 μF . Bila saklar S ditutup, beda potensial antara titik B dan D adalah ...

16

4.3

Jawaban terverifikasi

RUANGGURU HQ

Jl. Dr. Saharjo No.161, Manggarai Selatan, Tebet, Kota Jakarta Selatan, Daerah Khusus Ibukota Jakarta 12860

Coba GRATIS Aplikasi Roboguru

Coba GRATIS Aplikasi Ruangguru

Download di Google PlayDownload di AppstoreDownload di App Gallery

Produk Ruangguru

Hubungi Kami

Ruangguru WhatsApp

+62 815-7441-0000

Email info@ruangguru.com

[email protected]

Contact 02130930000

02130930000

Ikuti Kami

©2026 Ruangguru. All Rights Reserved PT. Ruang Raya Indonesia