Iklan

Pertanyaan

SIMAK UI 2009 KODE 947 Berikut ini yang berhubungan dengan kurva indiferensi ( indifference curve ) adalah … (1) semakin jauh kurva indiferensi dari titik asal maka tingkat kepuasannya semakin tinggi (2) semakin langka suatu barang maka akan semakin mahal (3) kurva indiferensi tidak saling berpotongan (4) semakin langka suatu barang maka permintaan barang semakin tinggi

SIMAK UI 2009 KODE 947

Berikut ini yang berhubungan dengan kurva indiferensi (indifference curve) adalah …

(1) semakin jauh kurva indiferensi dari titik asal maka tingkat kepuasannya semakin tinggi

(2) semakin langka suatu barang maka akan semakin mahal

(3) kurva indiferensi tidak saling berpotongan

(4) semakin langka suatu barang maka permintaan barang semakin tinggi

  1. 1 dan 4

  2. 1 dan 3

  3. 1 dan 2

  4. 2 dan 4

  5. 3 dan 4

Ikuti Tryout SNBT & Menangkan E-Wallet 100rb

Habis dalam

02

:

09

:

45

:

56

Klaim

Iklan

A. Acfreelance

Master Teacher

Jawaban terverifikasi

Pembahasan

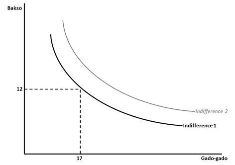
Kurva Indifferensi ( Indifference Curve) adalah kurva yang menggambarkan kombinasi konsumsi dua macam barang yang memberikan tingkat kepuasan yang sama. Kurva indiferensi (IC) ditunjukkan dalam gambar berikut ini: Ciri-ciri kurva indiferensi berdasarkan gambar tersebut adalah: Kurva indiferensi menurun dari kiri atas ke kanan bawah ( downward sloping) dan bentuknya cembung ke titik origin (convex). Semakin jauh kurva indiferensi dari titik origin/nol/asal, semakin tinggi kepuasan konsumen . Kurva indifferensi tidak saling berpotongan.

Kurva Indifferensi (Indifference Curve) adalah kurva yang menggambarkan kombinasi konsumsi dua macam barang yang memberikan tingkat kepuasan yang sama. Kurva indiferensi (IC) ditunjukkan dalam gambar berikut ini:

Ciri-ciri kurva indiferensi berdasarkan gambar tersebut adalah:

  1. Kurva indiferensi menurun dari kiri atas ke kanan bawah (downward sloping) dan bentuknya cembung ke titik origin (convex).
  2. Semakin jauh kurva indiferensi dari titik origin/nol/asal, semakin tinggi kepuasan konsumen.
  3. Kurva indifferensi tidak saling berpotongan.

Perdalam pemahamanmu bersama Master Teacher
di sesi Live Teaching, GRATIS!

2

Iklan

Pertanyaan serupa

Bagi petani, cangkul sangat dibutuhkan dalam kegiatan pertanian sehingga mempunyai nilai pakai yang tinggi sedangkan bagi seorang dokter, cangkul tidak dibutuhkan, sehingga mempunyai nilai pakai yang ...

4

2.8

Jawaban terverifikasi

RUANGGURU HQ

Jl. Dr. Saharjo No.161, Manggarai Selatan, Tebet, Kota Jakarta Selatan, Daerah Khusus Ibukota Jakarta 12860

Coba GRATIS Aplikasi Roboguru

Coba GRATIS Aplikasi Ruangguru

Download di Google PlayDownload di AppstoreDownload di App Gallery

Produk Ruangguru

Hubungi Kami

Ruangguru WhatsApp

+62 815-7441-0000

Email info@ruangguru.com

[email protected]

Contact 02130930000

02130930000

Ikuti Kami

©2026 Ruangguru. All Rights Reserved PT. Ruang Raya Indonesia