Iklan
Pertanyaan
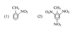
Senyawa organik memiliki struktur sebagao berikut.

Nama yang paling tepat untuk kedua struktur tersebut berturut-turut adalah
o-metilnitrobenzena dan trinitrometana
p-metilnitrobenzena dan 2,4,6 trinitrotiluena
o-nitrotoluena dan 2,4,6 tirintrotoluena
para metilnitrobenzena dan metil trinitrotoluena
m-nitrotoluena dan trinitro metana
Iklan
A. Chandra
Master Teacher
Mahasiswa/Alumni Universitas Negeri Jakarta
14
4.6 (8 rating)
Iklan
RUANGGURU HQ
Jl. Dr. Saharjo No.161, Manggarai Selatan, Tebet, Kota Jakarta Selatan, Daerah Khusus Ibukota Jakarta 12860
Produk Ruangguru
Bantuan & Panduan
Hubungi Kami
©2026 Ruangguru. All Rights Reserved PT. Ruang Raya Indonesia