Iklan

Pertanyaan

Senyawa A dan B merupakan senyawa karbon. Senyawa A bereaksi dengan natrium membentuk senyawa alkoksida. Untuk membentuk senyawa B, dapat dilakukan dengan cara mereaksikan senyawa A dengan oksidator kuat. Senyawa A tidak bereaksi dengan pereaksi Lucas. Jika senyawa A dan senyawa B dicampurkan, senyawa yang dihasilkan memiliki gugus fungsi ....

Senyawa A dan B merupakan senyawa karbon. Senyawa A bereaksi dengan natrium membentuk senyawa alkoksida. Untuk membentuk senyawa B, dapat dilakukan dengan cara mereaksikan senyawa A dengan oksidator kuat. Senyawa A tidak bereaksi dengan pereaksi Lucas. Jika senyawa A dan senyawa B dicampurkan, senyawa yang dihasilkan memiliki gugus fungsi .... 

  1. undefined 

  2. begin mathsize 14px style negative sign O minus sign end style 

  3. begin mathsize 14px style negative sign C O O H end style 

  4. begin mathsize 14px style negative sign C H O end style 

  5. undefined 

Ikuti Tryout SNBT & Menangkan E-Wallet 100rb

Habis dalam

01

:

07

:

50

:

25

Klaim

Iklan

M. Rizki

Master Teacher

Jawaban terverifikasi

Pembahasan

Senyawa A bereaksi dengan natrium membentuk senyawa alkoksida, artinya senyawa A merupakan senyawa alkohol . Natrium biasa digunakan untuk membedakan antara alkohol dan eter yang merupakan pasangan senyawa yang saling berisomer gugus fungsi. Natrium dapat bereaksi dengan alkohol membentukalkoksida, sedangkan eter tidak. Reaksi alkohol dengan Na adalah sebagai berikut. Senyawa A dioksidasi membentuk senyawa B. Senyawa A tidak bereaksi dengan pereaksi Lucas, berarti senyawa A merupakan senyawa alkohol primer . Alkohol primer jika dioksidasi akan menghasilkan senyawa asam karboksilat. Reaksi antara alkohol (senyawa A)dan asam karboksilat (senyawa B) akan menghasilkan senyawa ester melalui reaksi esterifikasi. Gugus fungsi dari ester, yaitu . Jadi, jawaban yang benar adalah E. Untuk mempelajarinya lebih jelas, tonton video selanjutnya.

Senyawa A bereaksi dengan natrium membentuk senyawa alkoksida, artinya senyawa A merupakan senyawa alkohol. Natrium biasa digunakan untuk membedakan antara alkohol dan eter yang merupakan pasangan senyawa yang saling berisomer gugus fungsi. Natrium dapat bereaksi dengan alkohol membentuk alkoksida, sedangkan eter tidak. Reaksi alkohol dengan Na adalah sebagai berikut.

begin mathsize 14px style R bond O H and Na yields R bond O bond Na and H subscript 2 end style

Senyawa A dioksidasi membentuk senyawa B. Senyawa A tidak bereaksi dengan pereaksi Lucas, berarti senyawa A merupakan senyawa alkohol primer. Alkohol primer jika dioksidasi akan menghasilkan senyawa asam karboksilat.

begin mathsize 14px style alkohol space 1 to the power of o yields with open square brackets O close square brackets on top aldehid yields with open square brackets O close square brackets on top asam space karboksilat end style

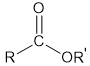
Reaksi antara alkohol (senyawa A) dan asam karboksilat (senyawa B) akan menghasilkan senyawa ester melalui reaksi esterifikasi. Gugus fungsi dari ester, yaitu undefined.

Jadi, jawaban yang benar adalah E.


Untuk mempelajarinya lebih jelas, tonton video selanjutnya.

Perdalam pemahamanmu bersama Master Teacher
di sesi Live Teaching, GRATIS!

3

Iklan

Pertanyaan serupa

Perhatikan struktur glutamin berikut ini! Jumlah isomer optis dari glutamin adalah ....

1

0.0

Jawaban terverifikasi

RUANGGURU HQ

Jl. Dr. Saharjo No.161, Manggarai Selatan, Tebet, Kota Jakarta Selatan, Daerah Khusus Ibukota Jakarta 12860

Coba GRATIS Aplikasi Roboguru

Coba GRATIS Aplikasi Ruangguru

Download di Google PlayDownload di AppstoreDownload di App Gallery

Produk Ruangguru

Hubungi Kami

Ruangguru WhatsApp

+62 815-7441-0000

Email info@ruangguru.com

[email protected]

Contact 02130930000

02130930000

Ikuti Kami

©2025 Ruangguru. All Rights Reserved PT. Ruang Raya Indonesia