Iklan

Pertanyaan

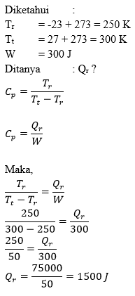
Sebuah kulkas memiliki suhu rendah -23 o C dan suhu tinggi 27 o C. Jika besar usaha untuk pindah dari reservoir suhu rendah adalah 300 J, maka dibutuhkan kalor sebesar .…

Sebuah kulkas memiliki suhu rendah -23 oC dan suhu tinggi 27 oC. Jika besar usaha untuk pindah dari reservoir suhu rendah adalah 300 J, maka dibutuhkan kalor sebesar .…

  1. 1100 J

  2. 1200 J

  3. 1300 J

  4. 1400 J

  5. 1500 J

Ikuti Tryout SNBT & Menangkan E-Wallet 100rb

Habis dalam

00

:

04

:

21

:

56

Klaim

Iklan

Y. Maghfirah

Master Teacher

Jawaban terverifikasi

Pembahasan

Perdalam pemahamanmu bersama Master Teacher
di sesi Live Teaching, GRATIS!

3

Iklan

Pertanyaan serupa

Suatu pesawat pendingin Carnot mempunyai koefisien kinerja 6,5. Jika reservoir yang tinggi 27 °C, maka besar suhu reservoir kalor rendah .…

2

5.0

Jawaban terverifikasi

RUANGGURU HQ

Jl. Dr. Saharjo No.161, Manggarai Selatan, Tebet, Kota Jakarta Selatan, Daerah Khusus Ibukota Jakarta 12860

Coba GRATIS Aplikasi Roboguru

Coba GRATIS Aplikasi Ruangguru

Download di Google PlayDownload di AppstoreDownload di App Gallery

Produk Ruangguru

Hubungi Kami

Ruangguru WhatsApp

+62 815-7441-0000

Email info@ruangguru.com

[email protected]

Contact 02130930000

02130930000

Ikuti Kami

©2025 Ruangguru. All Rights Reserved PT. Ruang Raya Indonesia