Iklan

Pertanyaan

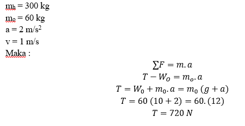
Sebuah helikopter bermassa 300 kg bergerak vertikal ke atas dengan percepatan 2 m/s 2 . Seorang tentara bermassa 60 kg memanjat tali yang menjulur dari helikopter dengan kecepatan tetap 1 m/s relatif terhadap helikopter. Gaya tegangan tali saat itu adalah…

Sebuah helikopter bermassa 300 kg bergerak vertikal ke atas dengan percepatan 2 m/s2. Seorang tentara bermassa 60 kg memanjat tali yang menjulur dari helikopter dengan kecepatan tetap 1 m/s relatif terhadap helikopter. Gaya tegangan tali saat itu adalah…space space

  1. 600 N

  2. 660 N

  3. 720 N

  4. 780 N

  5. 3600 N

Ikuti Tryout SNBT & Menangkan E-Wallet 100rb

Habis dalam

01

:

09

:

54

:

19

Klaim

Iklan

Y. Maghfirah

Master Teacher

Jawaban terverifikasi

Pembahasan

​​​​

​​​​

Perdalam pemahamanmu bersama Master Teacher
di sesi Live Teaching, GRATIS!

2

Alya Shareta

Ini yang aku cari!

Zafina anaya

Pembahasan terpotong

Kurnia Galuh Fitriani

Kepotong kak

Arta Gresia

Pembahasan terpotong

Aisyah Humaira

Pembahasan terpotong

Iklan

Pertanyaan serupa

Seorang pemadam kebakaran memiliki berat 650 N meluncur turun pada tiang vertikal dengan percepatan rata-rata 3 m/s 2 . Gaya vertikal rata-rata yang dilakukan pemadam kebakaran tersebut pada tiang ada...

3

5.0

Jawaban terverifikasi

RUANGGURU HQ

Jl. Dr. Saharjo No.161, Manggarai Selatan, Tebet, Kota Jakarta Selatan, Daerah Khusus Ibukota Jakarta 12860

Coba GRATIS Aplikasi Roboguru

Coba GRATIS Aplikasi Ruangguru

Download di Google PlayDownload di AppstoreDownload di App Gallery

Produk Ruangguru

Hubungi Kami

Ruangguru WhatsApp

+62 815-7441-0000

Email info@ruangguru.com

[email protected]

Contact 02130930000

02130930000

Ikuti Kami

©2026 Ruangguru. All Rights Reserved PT. Ruang Raya Indonesia