Iklan

Pertanyaan

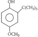
Perhatikan turunan benzena berikut! Untuk menjaga kesehatan, kita jangan terlalu sering menggunakan zat aditif kimia. Zat aditif dengan rumus struktur seperti di atas sering ditambahkan dalam makanan. Adapun fungsi senyawa tersebut adalah ...

Perhatikan turunan benzena berikut!


 


Untuk menjaga kesehatan, kita jangan terlalu sering menggunakan zat aditif kimia. Zat aditif dengan rumus struktur seperti di atas sering ditambahkan dalam makanan. Adapun fungsi senyawa tersebut adalah ...space

  1. Pengawetspace

  2. Pewarnaspace

  3. Pemanisspace

  4. Antioksidanspace

  5. Zat pengadisispace

Ikuti Tryout SNBT & Menangkan E-Wallet 100rb

Habis dalam

00

:

01

:

21

:

38

Klaim

Iklan

B. Rohmawati

Master Teacher

Mahasiswa/Alumni Universitas Negeri Semarang

Jawaban terverifikasi

Jawaban

zat aditif pangan dengan rumus struktur seperti di atas berfungsi sebagai antioksidan.

zat aditif pangan dengan rumus struktur seperti di atas berfungsi sebagai antioksidan.space

Pembahasan

Pilihan jawaban yang tepat adalah D. Benzena merupakan senyawa alkena dengan enam atom C dan enam atom H yang terdapat dalam strukturnya. Jika salah satu atau lebih atom H dalam benzena digantikan dengan atom atau gugus fungsi yang lain, senyawa baru tersebut merupakan turunan dari benzena.Benzena dan senyawa turunannya sering dijumpai dalam bidang industri maupun bidang kehidupan lainnya, seperti bidang kesehatan, pangan, dan pertanian. Senyawa denganstruktur tersebut merupakan senyawa turunan benzena, butil hidroksi anisolatau BHA . Senyawa BHA banyak digunakan sebagai zat aditif dalam industri pangan yang berfungsi sebagai antioksidan pada produk pangan yang mengandung kadar lemak tinggi.Antioksidan merupakan zat yang mampu memperlambat atau mencegah proses oksidasi. Zat ini secara nyata mampu memperlambat atau menghambat oksidasi zat yang mudah teroksidasi meskipun dalam konsentrasi rendah.Hasil oksidasi dari lemak pada makanan ternyata mempunyai dampak besar terhadap kesehatan manusia yang mengkonsumsinya. Oleh karena itu, diperlukan senyawa antioksidan seperti BHA yang dapat mencegah terjadinya oksidasi lemak pada makanan. Jadi, zat aditif pangan dengan rumus struktur seperti di atas berfungsi sebagai antioksidan.

Pilihan jawaban yang tepat adalah D.

Benzena merupakan senyawa alkena dengan enam atom C dan enam atom H yang terdapat dalam strukturnya. Jika salah satu atau lebih atom H dalam benzena digantikan dengan atom atau gugus fungsi yang lain, senyawa baru tersebut merupakan turunan dari benzena. Benzena dan senyawa turunannya sering dijumpai dalam bidang industri maupun bidang kehidupan lainnya, seperti bidang kesehatan, pangan, dan pertanian.space

Senyawa dengan struktur tersebut merupakan senyawa turunan benzena, butil hidroksi anisol atau BHA. Senyawa BHA banyak digunakan sebagai zat aditif dalam industri pangan yang berfungsi sebagai antioksidan pada produk pangan yang mengandung kadar lemak tinggi. Antioksidan merupakan zat yang mampu memperlambat atau mencegah proses oksidasi. Zat ini secara nyata mampu memperlambat atau menghambat oksidasi zat yang mudah teroksidasi meskipun dalam konsentrasi rendah. Hasil oksidasi dari lemak pada makanan ternyata mempunyai dampak besar terhadap kesehatan manusia yang mengkonsumsinya. Oleh karena itu, diperlukan senyawa antioksidan seperti BHA yang dapat mencegah terjadinya oksidasi lemak pada makanan.space

Jadi, zat aditif pangan dengan rumus struktur seperti di atas berfungsi sebagai antioksidan.space

Perdalam pemahamanmu bersama Master Teacher
di sesi Live Teaching, GRATIS!

13

Iklan

Pertanyaan serupa

Senyawa turunan benzena ada yang berbahaya bagi kesehatan manusia ada juga yang tidak berbahaya sehingga dapat digunakan secara aman. Caarilah dari berbagai informasi senyawa turunan benzena lalu kelo...

9

4.2

Jawaban terverifikasi

RUANGGURU HQ

Jl. Dr. Saharjo No.161, Manggarai Selatan, Tebet, Kota Jakarta Selatan, Daerah Khusus Ibukota Jakarta 12860

Coba GRATIS Aplikasi Roboguru

Coba GRATIS Aplikasi Ruangguru

Download di Google PlayDownload di AppstoreDownload di App Gallery

Produk Ruangguru

Hubungi Kami

Ruangguru WhatsApp

+62 815-7441-0000

Email info@ruangguru.com

[email protected]

Contact 02130930000

02130930000

Ikuti Kami

©2026 Ruangguru. All Rights Reserved PT. Ruang Raya Indonesia