Iklan
Pertanyaan
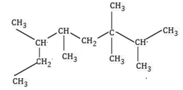
Perhatikan struktur senyawa karbon berikut!

Rumus molekul yang tepat untuk senyawa di atas adalah ....
Iklan
F. Tri
Master Teacher
3
1.0 (1 rating)
Alfian
Jawaban tidak sesuai
Iklan
RUANGGURU HQ
Jl. Dr. Saharjo No.161, Manggarai Selatan, Tebet, Kota Jakarta Selatan, Daerah Khusus Ibukota Jakarta 12860
Produk Ruangguru
Bantuan & Panduan
Hubungi Kami
©2026 Ruangguru. All Rights Reserved PT. Ruang Raya Indonesia