Iklan
Pertanyaan
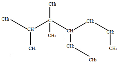
Perhatikan struktur garis senyawa hidrokarbon berikut!

Senyawa hidrokarbon yang dimaksud adalah ....
Iklan
F. Juliano
Master Teacher
11
4.0 (1 rating)
Rahma Cahyaningrum
Mudah dimengerti
Iklan
RUANGGURU HQ
Jl. Dr. Saharjo No.161, Manggarai Selatan, Tebet, Kota Jakarta Selatan, Daerah Khusus Ibukota Jakarta 12860
Produk Ruangguru
Bantuan & Panduan
Hubungi Kami
©2026 Ruangguru. All Rights Reserved PT. Ruang Raya Indonesia