Iklan

Pertanyaan

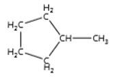
Perhatikan senyawa berikut! Senyawa di atas memiliki nama ….

Perhatikan senyawa berikut!

 

Senyawa di atas memiliki nama ….space 

  1. sikloheksanaspace 

  2. n-heksanaspace 

  3. 2-metilsiklopentanaspace 

  4. 2-metilpentanaspace 

  5. metilsiklopentanaspace 

Ikuti Tryout SNBT & Menangkan E-Wallet 100rb

Habis dalam

01

:

14

:

34

:

31

Klaim

Iklan

I. Solichah

Master Teacher

Jawaban terverifikasi

Jawaban

jawaban yang tepat adalah pilihan E.

jawaban yang tepat adalah pilihan E.space 

Pembahasan

Dari senyawa di atas diperoleh: Jumlah atom karbon = 5 Rantai cabang = 1 metil Posisi cabang = nomor 1 (penomoran cabang harus dinomor terkecil) Nama IUPAC = 1-metilsiklopentana atau metilsiklopentana Jadi, jawaban yang tepat adalah pilihan E .

Dari senyawa di atas diperoleh:

  • Jumlah atom karbon = 5
  • Rantai cabang = 1 metil
  • Posisi cabang = nomor 1 (penomoran cabang harus dinomor terkecil)
  • Nama IUPAC = 1-metilsiklopentana atau metilsiklopentana

Jadi, jawaban yang tepat adalah pilihan E.space 

Perdalam pemahamanmu bersama Master Teacher
di sesi Live Teaching, GRATIS!

1

Iklan

Pertanyaan serupa

Nama senyawa di bawah ini yang tepat adalah ….

4

3.0

Jawaban terverifikasi

RUANGGURU HQ

Jl. Dr. Saharjo No.161, Manggarai Selatan, Tebet, Kota Jakarta Selatan, Daerah Khusus Ibukota Jakarta 12860

Coba GRATIS Aplikasi Roboguru

Coba GRATIS Aplikasi Ruangguru

Download di Google PlayDownload di AppstoreDownload di App Gallery

Produk Ruangguru

Hubungi Kami

Ruangguru WhatsApp

+62 815-7441-0000

Email info@ruangguru.com

[email protected]

Contact 02130930000

02130930000

Ikuti Kami

©2026 Ruangguru. All Rights Reserved PT. Ruang Raya Indonesia