Iklan

Pertanyaan

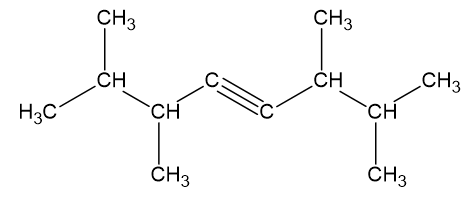
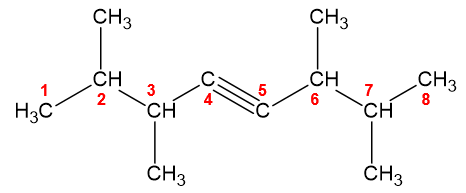
Perhatikan senyawa berikut! Nama IUPAC yang tepat untuk senyawa tersebut adalah ....

Perhatikan senyawa berikut!
 


Nama IUPAC yang tepat untuk senyawa tersebut adalah .... 

  1. 2,3,6,7-tetrametil-4-oktunaundefined 

  2. 2,3,6,7-tetrametil-3-oktunaundefined 

  3. 2,2,6,6-tetrametil-4-nonunaundefined 

  4. 2,3,6,7-metil-1-oktenaundefined 

  5. 2,3,6,7-tetrametil-4-nonunaundefined 

Ikuti Tryout SNBT & Menangkan E-Wallet 100rb

Habis dalam

02

:

14

:

33

:

24

Klaim

Iklan

S. Lubis

Master Teacher

Jawaban terverifikasi

Jawaban

jawaban yang tepat adalah A.

jawaban yang tepat adalah A.undefined 

Pembahasan

Tata nama senyawanya adalah sebagai berikut. Tentukan rantai utama/rantai terpanjang. Rantai terpanjang berjumlah delapan atom karbon. Penomoran dapat dimulai dari atom C paling kiri atau kanan karena letak ikatan rangkap tiga berada di tengah-tengah. Terdapat satu ikatan rangkap tiga (alkuna) pada atom C nomor 4 sehingga namanya menjadi 4- oktuna . Terdapat empat cabang metil pada atom C nomor 2, 3, 6, dan 7 sehingga penamaan cabangnya adalah 2,3,6,7-tetrametil . Nama senyawa =nama alkil + rantai utama. Dengan demikian, nama senyawadi atas adalah 2,3,6,7-tetrametil-4-oktuna . Jadi, jawaban yang tepat adalah A.


Tata nama senyawanya adalah sebagai berikut.

  1. Tentukan rantai utama/rantai terpanjang. Rantai terpanjang berjumlah delapan atom karbon. Penomoran dapat dimulai dari atom C paling kiri atau kanan karena letak ikatan rangkap tiga berada di tengah-tengah. Terdapat satu ikatan rangkap tiga (alkuna) pada atom C nomor 4 sehingga namanya menjadi 4-oktuna.  
     
  2. Terdapat empat cabang metil pada atom C nomor 2, 3, 6, dan 7 sehingga penamaan cabangnya adalah 2,3,6,7-tetrametil.
     
  3. Nama senyawa = nama alkil + rantai utama.
     

Dengan demikian, nama senyawa di atas adalah 2,3,6,7-tetrametil-4-oktuna.

Jadi, jawaban yang tepat adalah A.undefined 

Perdalam pemahamanmu bersama Master Teacher
di sesi Live Teaching, GRATIS!

2

Iklan

Pertanyaan serupa

Asetilena yang sehari-hari dikenal sebagai gas karbit dihasilkan dari batu karbit yang direaksikan dengan air. Gas karbit jika dibakar akan menghasilkan kalor yang tinggisehingga dapat digunakan untuk...

1

1.0

Jawaban terverifikasi

RUANGGURU HQ

Jl. Dr. Saharjo No.161, Manggarai Selatan, Tebet, Kota Jakarta Selatan, Daerah Khusus Ibukota Jakarta 12860

Coba GRATIS Aplikasi Roboguru

Coba GRATIS Aplikasi Ruangguru

Download di Google PlayDownload di AppstoreDownload di App Gallery

Produk Ruangguru

Hubungi Kami

Ruangguru WhatsApp

+62 815-7441-0000

Email info@ruangguru.com

[email protected]

Contact 02130930000

02130930000

Ikuti Kami

©2025 Ruangguru. All Rights Reserved PT. Ruang Raya Indonesia