Iklan

Pertanyaan

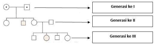
Perhatikan pedigree dibawah ini ! Jumlah generasi pada gambar tersebut adalah ….

Perhatikan pedigree dibawah ini !

Jumlah generasi pada gambar tersebut adalah ….

  1. 2

  2. 3

  3. 4

  4. 1

Ikuti Tryout SNBT & Menangkan E-Wallet 100rb

Habis dalam

02

:

15

:

11

:

26

Klaim

Iklan

L. Indah

Master Teacher

Jawaban terverifikasi

Jawaban

jawaban adalah B.

jawaban adalah B.

Pembahasan

Pedigree adalah diagram yang menunjukkan penurunan karakter-karakter tertentu dari leluhur (pasangan perkawinan) kepada kerurunannya dari generasi ke generasi berikutnya dalam suaru populasi. Dengan demikian jawaban adalah B.

Pedigree adalah diagram yang menunjukkan penurunan karakter-karakter tertentu dari leluhur (pasangan perkawinan) kepada kerurunannya dari generasi ke generasi berikutnya dalam suaru populasi.

 

Dengan demikian jawaban adalah B.

Perdalam pemahamanmu bersama Master Teacher
di sesi Live Teaching, GRATIS!

33

Putri Junike

Pembahasan lengkap banget Mudah dimengerti

Iklan

Pertanyaan serupa

Berikut ini merupakan fungsi yang tepat dari pedigree adalah....

3

0.0

Jawaban terverifikasi

RUANGGURU HQ

Jl. Dr. Saharjo No.161, Manggarai Selatan, Tebet, Kota Jakarta Selatan, Daerah Khusus Ibukota Jakarta 12860

Coba GRATIS Aplikasi Roboguru

Coba GRATIS Aplikasi Ruangguru

Download di Google PlayDownload di AppstoreDownload di App Gallery

Produk Ruangguru

Hubungi Kami

Ruangguru WhatsApp

+62 815-7441-0000

Email info@ruangguru.com

[email protected]

Contact 02130930000

02130930000

Ikuti Kami

©2025 Ruangguru. All Rights Reserved PT. Ruang Raya Indonesia