Iklan
Pertanyaan
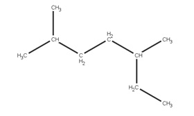
Perhatikan gambar struktur senyawa hidrokarbon berikut.

Pada struktur senyawa tersebut terdapat atom C primer sebanyak....
tiga
empat
lima
enam
tujuh
Iklan
I. Solichah
Master Teacher
1
3.5 (2 rating)
MUHAMMAD BADRI TAMAMI
Jawaban tidak sesuai
Iklan
RUANGGURU HQ
Jl. Dr. Saharjo No.161, Manggarai Selatan, Tebet, Kota Jakarta Selatan, Daerah Khusus Ibukota Jakarta 12860
Produk Ruangguru
Bantuan & Panduan
Hubungi Kami
©2025 Ruangguru. All Rights Reserved PT. Ruang Raya Indonesia