Iklan
Pertanyaan
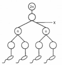
Perhatikan gambar spermatogenesis berikut!

Proses yang terjadi pada bagian yang ditunjuk oleh huruf X adalah ....
reduksi
duplikasi
diakinesis
regenerasi
crossing over
Iklan
N. Puspita
Master Teacher
22
4.0 (4 rating)
Iklan
RUANGGURU HQ
Jl. Dr. Saharjo No.161, Manggarai Selatan, Tebet, Kota Jakarta Selatan, Daerah Khusus Ibukota Jakarta 12860
Produk Ruangguru
Bantuan & Panduan
Hubungi Kami
©2025 Ruangguru. All Rights Reserved PT. Ruang Raya Indonesia