Iklan

Pertanyaan

Perhatikan gambar hidrokarbon di bawah ini! Hidrokarbon dengan rumus struktur di atas memiliki nama....

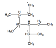
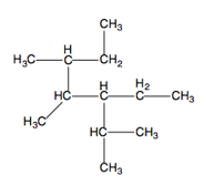
Perhatikan gambar hidrokarbon di bawah ini!

Hidrokarbon dengan rumus struktur di atas memiliki nama....

  1. 4,5-dimetil-3-isopropil heptana

  2. 3-etil-2,4,5-trimetil heptana

  3. 4,5-dimetil heptana

  4. 3-etil-4,5-dimetil-3-propil heptan

  5. 2,4,5-trimetil heksana

Ikuti Tryout SNBT & Menangkan E-Wallet 100rb

Habis dalam

01

:

00

:

45

:

35

Klaim

Iklan

I. Solichah

Master Teacher

Jawaban terverifikasi

Jawaban

nama senyawa tersebut adalah 3-etil-2,4,5-trimetil-heptana

nama senyawa tersebut adalah 3-etil-2,4,5-trimetil-heptana

Pembahasan

Aturan penamaan senyawa hidrokarbon adalah sebagai berikut : 1) menentukan rantai utama, yaitu rantai hidrokarbon terpanjang 2) beri nomor rantai terpanjang dimulai dari yang paling dengan dengan cabang 3) jika terdapat lebih dari satu cabang sama, maka penamaan cabang ditambahkan dengan awalan yunani jumlah cabang 4) jika terdapat cabang yang berbeda – beda, maka penamaan cabang diurutkan sesuai abjad 5) penamaan : nomor cabang + nama cabang + nama rantai utama Jadi nama senyawa tersebut adalah 3-etil-2,4,5-trimetil-heptana

Aturan penamaan senyawa hidrokarbon adalah sebagai berikut :

1)      menentukan rantai utama, yaitu rantai hidrokarbon terpanjang 

2)      beri nomor rantai terpanjang dimulai dari yang paling dengan dengan cabang

3)      jika terdapat lebih dari satu cabang sama, maka penamaan cabang ditambahkan dengan awalan yunani jumlah cabang

4)      jika terdapat cabang yang berbeda – beda, maka penamaan cabang diurutkan sesuai abjad

5)      penamaan : nomor cabang + nama cabang + nama rantai utama

Jadi nama senyawa tersebut adalah 3-etil-2,4,5-trimetil-heptana

Perdalam pemahamanmu bersama Master Teacher
di sesi Live Teaching, GRATIS!

1

Iklan

Pertanyaan serupa

Nama IUPAC untuk senyawa yang memiliki rumus CH(CH 3 ) 2 CH 2 C(CH 3 ) 3 adalah….

3

1.5

Jawaban terverifikasi

RUANGGURU HQ

Jl. Dr. Saharjo No.161, Manggarai Selatan, Tebet, Kota Jakarta Selatan, Daerah Khusus Ibukota Jakarta 12860

Coba GRATIS Aplikasi Roboguru

Coba GRATIS Aplikasi Ruangguru

Download di Google PlayDownload di AppstoreDownload di App Gallery

Produk Ruangguru

Hubungi Kami

Ruangguru WhatsApp

+62 815-7441-0000

Email info@ruangguru.com

[email protected]

Contact 02130930000

02130930000

Ikuti Kami

©2026 Ruangguru. All Rights Reserved PT. Ruang Raya Indonesia