Iklan

Pertanyaan

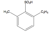
Perhatikan gambar di bawah ini! Nama senyawa turunan benzena dengan rumus struktur di atas adalah....

Perhatikan gambar di bawah ini!

Nama senyawa turunan benzena dengan rumus struktur di atas adalah....

  1. asam 2-etil-6-metil-benzena-sulfonat

  2. 3-etil-2-sulfat toluena

  3. 3-etil-2-sulfit toluena

  4. 5-etil-2-etil sulfonat

  5. etil metil sulfit

Ikuti Tryout SNBT & Menangkan E-Wallet 100rb

Habis dalam

01

:

08

:

16

:

08

Klaim

Iklan

D. Zharva

Master Teacher

Jawaban terverifikasi

Jawaban

nama senyawa tersebut adalah asam 2-etil-6-metil benzena-sulfonat.

nama senyawa tersebut adalah asam 2-etil-6-metil benzena-sulfonat.

Pembahasan

Struktur benzena diatas merupakan senyawa turunan benzena sulfonat karena gugus fungsi sulfonat (SO 3 H) lebih prioritas daripada gugus metil (CH 3 ) dan etil (C 2 H 6 ). Maka gugus sulfonat tersebut menjadi gugus nomor 1. Sedangkan gugus etil terdapat di nomor 2 dan gugus metil berada di nomor 6. Sehingga nama senyawa tersebut adalah asam 2-etil-6-metil benzena-sulfonat.

Struktur benzena diatas merupakan senyawa turunan benzena sulfonat karena gugus fungsi sulfonat (SO3H) lebih prioritas daripada gugus metil (CH3) dan etil (C2H6). Maka gugus sulfonat tersebut menjadi gugus nomor 1. Sedangkan gugus etil terdapat di nomor 2 dan gugus metil berada di nomor 6. Sehingga nama senyawa tersebut adalah asam 2-etil-6-metil benzena-sulfonat.

Perdalam pemahamanmu bersama Master Teacher
di sesi Live Teaching, GRATIS!

22

Iklan

Pertanyaan serupa

Tuliskan nama senyawa berikut.

11

5.0

Jawaban terverifikasi

RUANGGURU HQ

Jl. Dr. Saharjo No.161, Manggarai Selatan, Tebet, Kota Jakarta Selatan, Daerah Khusus Ibukota Jakarta 12860

Coba GRATIS Aplikasi Roboguru

Coba GRATIS Aplikasi Ruangguru

Download di Google PlayDownload di AppstoreDownload di App Gallery

Produk Ruangguru

Hubungi Kami

Ruangguru WhatsApp

+62 815-7441-0000

Email info@ruangguru.com

[email protected]

Contact 02130930000

02130930000

Ikuti Kami

©2025 Ruangguru. All Rights Reserved PT. Ruang Raya Indonesia