Iklan

Pertanyaan

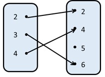
Perhatikan gambar berikut ini! Jenis fungsi pada gambar di atas adalah….

Perhatikan gambar berikut ini!

Jenis fungsi pada gambar di atas adalah ….

  1. relasiundefined 

  2. injektifundefined 

  3. bijektifundefined 

  4. surjektifundefined 

Ikuti Tryout SNBT & Menangkan E-Wallet 100rb

Habis dalam

01

:

02

:

55

:

37

Klaim

Iklan

P. Anggrayni

Master Teacher

Jawaban terverifikasi

Jawaban

jawaban yang tepat adalah B.

jawaban yang tepat adalah B.space 

Pembahasan

Dari gambardi atas, perhatikan bahwa setiap anggota domain (daerah asal) memiliki pasangan yang berbeda pada kodomain (daerah kawan). Kemudian, daerah hasilnya merupakan himpunan bagian dari kodomain (daerah kawan). Dengan demikian, jenis fungsi pada gambar tersebut merupakan fungsi injektif. Jadi, jawaban yang tepat adalah B.

Dari gambar di atas, perhatikan bahwa setiap anggota domain (daerah asal) memiliki pasangan yang berbeda pada kodomain (daerah kawan).

Kemudian, daerah hasilnya merupakan himpunan bagian dari kodomain (daerah kawan).

Dengan demikian, jenis fungsi pada gambar tersebut merupakan fungsi injektif.

Jadi, jawaban yang tepat adalah B.space 

Perdalam pemahamanmu bersama Master Teacher
di sesi Live Teaching, GRATIS!

2

Iklan

Pertanyaan serupa

Dari gambar di samping, tentukan: a. Apakah gambar di samping termasuk fungsi atau bukan. b. Banyak anggota A. c. Banyak anggota B.

1

5.0

Jawaban terverifikasi

RUANGGURU HQ

Jl. Dr. Saharjo No.161, Manggarai Selatan, Tebet, Kota Jakarta Selatan, Daerah Khusus Ibukota Jakarta 12860

Coba GRATIS Aplikasi Roboguru

Coba GRATIS Aplikasi Ruangguru

Download di Google PlayDownload di AppstoreDownload di App Gallery

Produk Ruangguru

Hubungi Kami

Ruangguru WhatsApp

+62 815-7441-0000

Email info@ruangguru.com

[email protected]

Contact 02130930000

02130930000

Ikuti Kami

©2026 Ruangguru. All Rights Reserved PT. Ruang Raya Indonesia