Iklan

Pertanyaan

Percepatan gravitasi pada permukaan Bumi adalah 10 m/s 2 . Massa planet Mars adalah 0,2 kali massa Bumi dan jari-jari planet Mars 0,5 kali jari-jari Bumi. Percepatan gravitasi yang dialami sebuah benda yang berada pada permukaan planet Mars adalah .…

Percepatan gravitasi pada permukaan Bumi adalah 10 m/s2. Massa planet Mars adalah 0,2 kali massa Bumi dan jari-jari planet Mars 0,5 kali jari-jari Bumi. Percepatan gravitasi yang dialami sebuah benda yang berada pada permukaan planet Mars adalah .…

  1. 2 m/s2

  2. 4 m/s2

  3. 8 m/s2

  4. 10 m/s2

  5. 12 m/s2

Ikuti Tryout SNBT & Menangkan E-Wallet 100rb

Habis dalam

02

:

21

:

03

:

33

Klaim

Iklan

A. ACFREELANCE

Master Teacher

Jawaban terverifikasi

Jawaban

percepatan gravitasi yang dilami sebuah benda yang berada pada permukaan planet Mars adalah 8 m/s 2 .

percepatan gravitasi yang dilami sebuah benda yang berada pada permukaan planet Mars adalah 8 m/s2.

Pembahasan

Untuk soal tipe ini akan lebih mudah dijawab dengan menggunakan teknik perbandingan, yaitu dengan membandingkan antara percepatan gravitasi planet Mars dengan gravitasi Bumi. Karena variabel G tetap (tidak berubah), maka variabel G dapat di coret dari perhitungan, sehingga perbandingan menjadi seperti berikut. Jadi percepatan gravitasi yang dilami sebuah benda yang berada pada permukaan planet Mars adalah 8 m/s 2 .

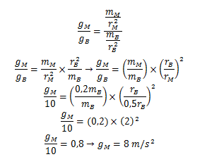
D i k e t a h u i space colon space space g subscript B space equals space 10 space m divided by s squared space m subscript M space equals space 0 comma 2 m subscript B space r subscript M equals space 0 comma 5 r subscript B space D i tan y a space colon space g subscript M ?

Untuk soal tipe ini akan lebih mudah dijawab dengan menggunakan teknik perbandingan, yaitu dengan membandingkan antara percepatan gravitasi planet Mars dengan gravitasi Bumi.

space g subscript M over g subscript B equals space fraction numerator begin display style fraction numerator G m subscript M over denominator r subscript M squared end subscript end fraction end style over denominator begin display style fraction numerator G m subscript B over denominator r subscript B squared end subscript end fraction end style end fraction

Karena variabel G tetap (tidak berubah), maka variabel G dapat di coret dari perhitungan, sehingga perbandingan menjadi seperti berikut.

Jadi percepatan gravitasi yang dilami sebuah benda yang berada pada permukaan planet Mars adalah 8 m/s2.

Perdalam pemahamanmu bersama Master Teacher
di sesi Live Teaching, GRATIS!

9

natika nada

Pembahasan lengkap banget Mudah dimengerti

NR

Ini yang aku cari!

Iklan

Pertanyaan serupa

Saat berada di permukaan sebuah planet yang berjari-jari R, berat seorang astronot adalah 40 N. Jika massa astronot adalah 60 kg, maka ketika berada pada ketinggian R di atas permukaan bumi, percepata...

3

4.0

Jawaban terverifikasi

RUANGGURU HQ

Jl. Dr. Saharjo No.161, Manggarai Selatan, Tebet, Kota Jakarta Selatan, Daerah Khusus Ibukota Jakarta 12860

Coba GRATIS Aplikasi Roboguru

Coba GRATIS Aplikasi Ruangguru

Download di Google PlayDownload di AppstoreDownload di App Gallery

Produk Ruangguru

Hubungi Kami

Ruangguru WhatsApp

+62 815-7441-0000

Email info@ruangguru.com

[email protected]

Contact 02130930000

02130930000

Ikuti Kami

©2025 Ruangguru. All Rights Reserved PT. Ruang Raya Indonesia