Iklan
Pertanyaan
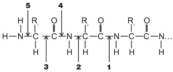
Pada gambar berikut ini, ikatan peptide ditunjukan oleh nomor….

1
1 dan 2
2 dan 3
1 dan 4
3 dan 4
Iklan
R. RGFREELANCETIGASATU
Master Teacher
29
4.7 (4 rating)
nova letuna
Pembahasan lengkap banget
Iklan
RUANGGURU HQ
Jl. Dr. Saharjo No.161, Manggarai Selatan, Tebet, Kota Jakarta Selatan, Daerah Khusus Ibukota Jakarta 12860
Produk Ruangguru
Bantuan & Panduan
Hubungi Kami
©2026 Ruangguru. All Rights Reserved PT. Ruang Raya Indonesia