Iklan

Pertanyaan

Nilai x - y yang memenuhi dari persamaan 4 x ​ + 3 y ​ = 12 5 ​ d an 2 x ​ + y = 1 adalah...

Nilai x - y yang memenuhi dari persamaan adalah...

  1. 1 half

  2. 1

  3. 3 over 2

  4. 2

  5. 0

Ikuti Tryout SNBT & Menangkan E-Wallet 100rb

Habis dalam

02

:

19

:

02

:

22

Klaim

Iklan

N. Rahayu

Master Teacher

Mahasiswa/Alumni Universitas Negeri Jakarta

Jawaban terverifikasi

Pembahasan

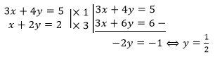
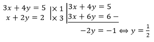
Agar persamaan tidak menjadi bentuk pecahan, maka dikalikan dengan KPK dari semua penyebutnya. Eliminasi persamaan (i) dan (ii), diperoleh: Selanjutnya substitusikan nilai y ke salah satu persamaan, misalnya dipilih persamaan (ii), maka:

Agar persamaan tidak menjadi bentuk pecahan, maka dikalikan dengan KPK dari semua penyebutnya.

begin mathsize 14px style table row cell x over 4 plus y over 3 equals 5 over 12 rightwards arrow open parentheses 12 close parentheses ⟹ 3 x plus 4 y equals 5 space space space horizontal ellipsis space left parenthesis i right parenthesis end cell row cell x over 2 plus y equals 1 rightwards arrow open parentheses 2 close parentheses ⟹ x plus 2 y equals 2 space space space space horizontal ellipsis space left parenthesis i i right parenthesis end cell end table end style

Eliminasi persamaan (i) dan (ii), diperoleh:

Selanjutnya substitusikan nilai y ke salah satu persamaan, misalnya dipilih persamaan (ii), maka:

begin mathsize 14px style x plus 2 open parentheses 1 half close parentheses equals 2 x plus 1 equals 2 space space x equals 1 space  Sehingga space diperoleh space x equals 1 space dan space y equals 1 half Jadi comma space nilai space dari space x minus y equals 1 minus 1 half equals 1 half. end style

Perdalam pemahamanmu bersama Master Teacher
di sesi Live Teaching, GRATIS!

1

Iklan

Pertanyaan serupa

Jika x + y + z = 6 ; 2 x + y = 15 dan 4 x + y = 25 , maka nilai z = ....

1

3.0

Jawaban terverifikasi

RUANGGURU HQ

Jl. Dr. Saharjo No.161, Manggarai Selatan, Tebet, Kota Jakarta Selatan, Daerah Khusus Ibukota Jakarta 12860

Coba GRATIS Aplikasi Roboguru

Coba GRATIS Aplikasi Ruangguru

Download di Google PlayDownload di AppstoreDownload di App Gallery

Produk Ruangguru

Hubungi Kami

Ruangguru WhatsApp

+62 815-7441-0000

Email info@ruangguru.com

[email protected]

Contact 02130930000

02130930000

Ikuti Kami

©2025 Ruangguru. All Rights Reserved PT. Ruang Raya Indonesia