Iklan

Pertanyaan

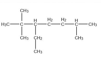
Nama yang tepat untuk senyawa di bawah ini adalah ( CH 3 ​ ) 3 ​ C − CH ( C 2 ​ H 5 ​ ) − ( CH 2 ​ ) 2 ​ − CH ( CH 3 ​ ) 2 ​

Nama yang tepat untuk senyawa di bawah ini adalah

 space

  1. 3-isobutil-6-metilheptana.space

  2. 3-etil-2,2,6-trimetilheptana.space

  3. 5-etil-2,6,6-trimetilheptana.space

  4. 3-etil-2,2,6-trimetilhexsana.space

  5. 2,2,6-trimetil-3-etilheptana.space

Ikuti Tryout SNBT & Menangkan E-Wallet 100rb

Habis dalam

01

:

02

:

24

:

30

Klaim

Iklan

I. Solichah

Master Teacher

Jawaban terverifikasi

Jawaban

setelah dijabarkan, maka nama untuk struktur alkana di atas adalah3-etil-2,2,6-trimetilheptana.

setelah dijabarkan, maka nama untuk struktur alkana di atas adalah 3-etil-2,2,6-trimetilheptana.space

Pembahasan

Cara untuk memberikan nama struktur senyawa alkana : Tentukan rantai C terpanjang pada alkana (fokus terhadap atom C) Tentukan juga cabang dari alkana, yakni gugus alkil. Lakukan penomoran pada senyawa alkana, yakni rantai C terpanjang dengan penomoran dimulai yang paling dekat cabang/gugus alkil. Jika terdapat dua atau lebih gugus alkil, cukup tulis satu kali gugus alkil dengan diberi awalan. Misalkan di, jika memiliki dua gugus alkil (di = 2, tri = 3, tetra = 4, penta = 5). Alkil ditulis dengan menurut urutan pada alfabet. Misal ada gugus metil dan etil. Secara alfabet, e lebih dahulu dibanding m. Maka ditulis etil terlebih dahulu lalu metil, etil-metil. Secara singkat, penulisan nama alkana seperti ini : tentukan rantai utama–tentukan nama alkil–tentukan nama rantai utama. Jika struktur alkana seperti gambar di atas maka perlu dijabarkan terlebih dahulu agar lebih mudah menentukan rantai terpanjang. Jadi setelah dijabarkan, maka nama untuk struktur alkana di atas adalah3-etil-2,2,6-trimetilheptana.

Cara untuk memberikan nama struktur senyawa alkana : 

  1. Tentukan rantai C terpanjang pada alkana (fokus terhadap atom C)
  2. Tentukan juga cabang dari alkana, yakni gugus alkil.
  3. Lakukan penomoran pada senyawa alkana, yakni rantai C terpanjang dengan penomoran dimulai yang paling dekat cabang/gugus alkil.
  4. Jika terdapat dua atau lebih gugus alkil, cukup tulis satu kali gugus alkil dengan diberi awalan. Misalkan di, jika memiliki dua gugus alkil (di = 2, tri = 3, tetra = 4, penta = 5).
  5. Alkil ditulis dengan menurut urutan pada alfabet. Misal ada gugus metil dan etil. Secara alfabet, e lebih dahulu dibanding m. Maka ditulis etil terlebih dahulu lalu metil, etil-metil.
  6. Secara singkat, penulisan nama alkana seperti ini :
    tentukan rantai utama–tentukan nama alkil–tentukan nama rantai utama.


open parentheses C H subscript 3 close parentheses subscript 3 C bond C H open parentheses C subscript 2 H subscript 5 close parentheses minus sign open parentheses C H subscript 2 close parentheses subscript 2 minus sign C H open parentheses C H subscript 3 close parentheses subscript 2


Jika struktur alkana seperti gambar di atas maka perlu dijabarkan terlebih dahulu agar lebih mudah menentukan rantai terpanjang. 



Jadi setelah dijabarkan, maka nama untuk struktur alkana di atas adalah 3-etil-2,2,6-trimetilheptana.space

Perdalam pemahamanmu bersama Master Teacher
di sesi Live Teaching, GRATIS!

1

Zahra Jerolin

Bantu banget

Iklan

Pertanyaan serupa

Cermatilah senyawa berikut! Berilah namasenyawa tersebut berdasarkan aturan IUPAC!

1

0.0

Jawaban terverifikasi

RUANGGURU HQ

Jl. Dr. Saharjo No.161, Manggarai Selatan, Tebet, Kota Jakarta Selatan, Daerah Khusus Ibukota Jakarta 12860

Coba GRATIS Aplikasi Roboguru

Coba GRATIS Aplikasi Ruangguru

Download di Google PlayDownload di AppstoreDownload di App Gallery

Produk Ruangguru

Hubungi Kami

Ruangguru WhatsApp

+62 815-7441-0000

Email info@ruangguru.com

[email protected]

Contact 02130930000

02130930000

Ikuti Kami

©2026 Ruangguru. All Rights Reserved PT. Ruang Raya Indonesia