Iklan
Pertanyaan
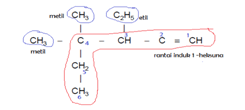
Nama senyawa dengan rantai karbon berikut ini adalah….

4,5-dietil-5-metil-1-heksuna
2,3-dietil-2-metil-5-heksuna
4-etil-5,5-dimetil-heksuna
3-etil-4,4-dimetil-1-heksuna
4-etil-3,3-dimetil-1-heptuna
Iklan
I. Solichah
Master Teacher
2
5.0 (3 rating)
Iklan
RUANGGURU HQ
Jl. Dr. Saharjo No.161, Manggarai Selatan, Tebet, Kota Jakarta Selatan, Daerah Khusus Ibukota Jakarta 12860
Produk Ruangguru
Bantuan & Panduan
Hubungi Kami
©2026 Ruangguru. All Rights Reserved PT. Ruang Raya Indonesia