Senyawa hidrokarbon yang tidak memiliki ikatan rangkap diklasifikasikan sebagai alkana (
). Tata nama senyawa alkana memiliki akhiran -ana. Pada tabel berikut, dapat dilihat nama rantai lurus (tanpa cabang) dari alkana beserta namanya.

Gugus alkil (
) dapat terbentuk dengan menghilangkan satu atom hidrogen dari rantai alkana, sehingga akhiran yang semula adalah -ana dapat diganti menjadi -il (contoh:
adalah metil,
adalah etil, dst.). Aturan IUPAC untuk tata nama alkana adalah sebagai berikut.
- Cari dan beri nama rantai karbon terpanjang dari alkana
- Tentukan dan beri nama substituen (cabang) yang terdapat pada rantai utama
- Berikan penomoran pada rantai karbon utama. Lakukan agar substituen mendapat nomor sekecil mungkin
- Susun namanya dengan mengurutkan berdasarkan abjad
- Prefiks di-, tri-, tetra-, dst. (digunakan untuk tata nama substituen jika terdapat beberapa substituen yang sama) tidak dipertimbangkan ketika mengurutkan berdasarkan abjad
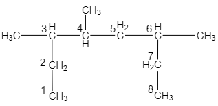
Pada rumus struktur yang terdapat di soal, penomoran dapat dituliskan sebagai berikut.

Rantai karbon utama pada senyawa alkana di atas memiliki 8 atom karbon sehingga dinamakan oktana. Pada atom karbon nomor 3, 4, dan 6, terdapat 3 buah alkil yang sama (
atau metil) sehingga nama senyawa dari rumus struktur tersebut adalah 3,4,6-trimetiloktana.
Jadi, jawaban yang benar adalah D.