Iklan

Pertanyaan

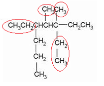
Jumlah gugus cabang pada senyawa alkana di bawah ini adalah ….

Jumlah gugus cabang pada senyawa alkana di bawah ini adalah ….

  

  1. 2undefined 

  2. 3undefined 

  3. 4undefined 

  4. 5undefined 

  5. 6undefined 

Ikuti Tryout SNBT & Menangkan E-Wallet 100rb

Habis dalam

02

:

17

:

32

:

16

Klaim

Iklan

I. Solichah

Master Teacher

Jawaban terverifikasi

Jawaban

jawaban yang tepat adalah pilihan C.

jawaban yang tepat adalah pilihan C.undefined 

Pembahasan

Gugus cabang pada senyawa alkana dapat berupa alkil (alkana yang kehilangan satu atom H) atau halogen (F, Cl, Br, I). Gugus cabang ditunjukkan oleh lingkaran merah. Terdapat 4 gugus cabang pada senyawa di atas. Jadi, jawaban yang tepat adalah pilihan C .

Gugus cabang pada senyawa alkana dapat berupa alkil (alkana yang kehilangan satu atom H) atau halogen (F, Cl, Br, I). Gugus cabang ditunjukkan oleh lingkaran merah.

  

Terdapat 4 gugus cabang pada senyawa di atas. Jadi, jawaban yang tepat adalah pilihan C.undefined 

Perdalam pemahamanmu bersama Master Teacher
di sesi Live Teaching, GRATIS!

1

Iklan

Pertanyaan serupa

Senyawa alkana yang dikenal dengan sebutan gas rawa adalah ….

1

5.0

Jawaban terverifikasi

RUANGGURU HQ

Jl. Dr. Saharjo No.161, Manggarai Selatan, Tebet, Kota Jakarta Selatan, Daerah Khusus Ibukota Jakarta 12860

Coba GRATIS Aplikasi Roboguru

Coba GRATIS Aplikasi Ruangguru

Download di Google PlayDownload di AppstoreDownload di App Gallery

Produk Ruangguru

Hubungi Kami

Ruangguru WhatsApp

+62 815-7441-0000

Email info@ruangguru.com

[email protected]

Contact 02130930000

02130930000

Ikuti Kami

©2026 Ruangguru. All Rights Reserved PT. Ruang Raya Indonesia