Iklan

Pertanyaan

Jika suatu persegi dengan panjang sisi satu satuan dibagi menjadi 5 persegi panjang dengan luas yang sama seperti ditunjukkan pada gambar di bawah ini, maka panjang ruas garis AB adalah ….

Jika suatu persegi dengan panjang sisi satu satuan dibagi menjadi 5 persegi panjang dengan luas yang sama seperti ditunjukkan pada gambar di bawah ini, maka panjang ruas garis AB adalah ….space space space 

  1. begin mathsize 14px style 2 over 3 end style   

  2. begin mathsize 14px style 3 over 4 end style   

  3. begin mathsize 14px style 2 over 5 end style   

  4. begin mathsize 14px style 1 third end style   

  5. begin mathsize 14px style 1 fifth end style   

Ikuti Tryout SNBT & Menangkan E-Wallet 100rb

Habis dalam

01

:

10

:

09

:

23

Klaim

Iklan

M. Robo

Master Teacher

Jawaban terverifikasi

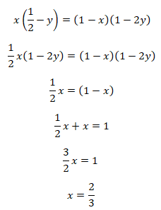
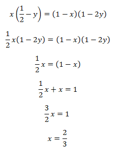
Pembahasan

Perhatikan gambar bangun datar di bawah ini! L kuning = L biru

Perhatikan gambar bangun datar di bawah ini!

L kuning = L biru

 undefined     

Perdalam pemahamanmu bersama Master Teacher
di sesi Live Teaching, GRATIS!

2

Muhammad Rifan Pramadhani Setiawan

Ini yang aku cari!

Iklan

Iklan

RUANGGURU HQ

Jl. Dr. Saharjo No.161, Manggarai Selatan, Tebet, Kota Jakarta Selatan, Daerah Khusus Ibukota Jakarta 12860

Coba GRATIS Aplikasi Roboguru

Coba GRATIS Aplikasi Ruangguru

Download di Google PlayDownload di AppstoreDownload di App Gallery

Produk Ruangguru

Hubungi Kami

Ruangguru WhatsApp

+62 815-7441-0000

Email info@ruangguru.com

[email protected]

Contact 02130930000

02130930000

Ikuti Kami

©2026 Ruangguru. All Rights Reserved PT. Ruang Raya Indonesia