Iklan

Pertanyaan

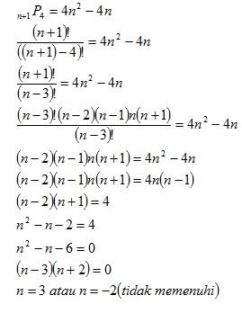
Jika n + 1 ​ P 4 ​ = 4 n 2 − 4 n , maka nilai n adalah....

Jika , maka nilai n adalah....

  1. 2

  2. 3

  3. 4

  4. 5

  5. 6

Ikuti Tryout SNBT & Menangkan E-Wallet 100rb

Habis dalam

02

:

16

:

52

:

55

Klaim

Iklan

S. Intan

Master Teacher

Mahasiswa/Alumni Institut Pertanian Bogor

Jawaban terverifikasi

Pembahasan

Perdalam pemahamanmu bersama Master Teacher
di sesi Live Teaching, GRATIS!

1

Iklan

Pertanyaan serupa

Menjelang pergantian kepengurusan OSIS SMA Makmur Jaya akan dibentuk panitia inti sebanyak 3 orang (ketua, wakil ketua, dan sekretaris), calon panitia tersebut ada 15 orang. Banyak susunan panitia yan...

1

5.0

Jawaban terverifikasi

RUANGGURU HQ

Jl. Dr. Saharjo No.161, Manggarai Selatan, Tebet, Kota Jakarta Selatan, Daerah Khusus Ibukota Jakarta 12860

Coba GRATIS Aplikasi Roboguru

Coba GRATIS Aplikasi Ruangguru

Download di Google PlayDownload di AppstoreDownload di App Gallery

Produk Ruangguru

Hubungi Kami

Ruangguru WhatsApp

+62 815-7441-0000

Email info@ruangguru.com

[email protected]

Contact 02130930000

02130930000

Ikuti Kami

©2025 Ruangguru. All Rights Reserved PT. Ruang Raya Indonesia