Iklan

Pertanyaan

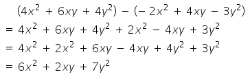
Hasil pengurangan − 2 x 2 + 4 x y − 3 y 2 - 2 x 2 +4 xy - 3 y 2 dari 4 x 2 +6 xy +4 y 2 4 x 2 + 6 x y + 4 y 2 adalah…

Hasil pengurangan  dari  adalah…

  1. 6 x to the power of 2 space end exponent minus space 2 x y space plus space 7 y squared

  2. 6 x to the power of 2 space end exponent minus space 2 x y space minus space 7 y squared

  3. 6 x to the power of 2 space end exponent plus space 2 x y space plus space 7 y squared

  4. 6 x to the power of 2 space end exponent plus space 2 x y space minus space 7 y squared

Ikuti Tryout SNBT & Menangkan E-Wallet 100rb

Habis dalam

02

:

03

:

39

:

19

Klaim

Iklan

N. Mustikowati

Master Teacher

Mahasiswa/Alumni Universitas Negeri Jakarta

Jawaban terverifikasi

Pembahasan

 

Perdalam pemahamanmu bersama Master Teacher
di sesi Live Teaching, GRATIS!

1

Iklan

Pertanyaan serupa

Bentuk paling sederhana dari 5 x 2 y – 3 x y 2 – 7 x 2 y + 6 x y 2 5 x 2 y − 3 x y 2 − 7 x 2 y + 6 x y 2 adalah…

11

4.9

Jawaban terverifikasi

RUANGGURU HQ

Jl. Dr. Saharjo No.161, Manggarai Selatan, Tebet, Kota Jakarta Selatan, Daerah Khusus Ibukota Jakarta 12860

Coba GRATIS Aplikasi Roboguru

Coba GRATIS Aplikasi Ruangguru

Download di Google PlayDownload di AppstoreDownload di App Gallery

Produk Ruangguru

Hubungi Kami

Ruangguru WhatsApp

+62 815-7441-0000

Email info@ruangguru.com

[email protected]

Contact 02130930000

02130930000

Ikuti Kami

©2026 Ruangguru. All Rights Reserved PT. Ruang Raya Indonesia