Iklan

Pertanyaan

Hasil dari ∫ 3 x + 4 ​ 12 x 2 ​ d x adalah...

Hasil dari  adalah...

  1. 8 x squared left parenthesis 3 x plus 4 right parenthesis to the power of 1 half end exponent minus 8 over 9 left parenthesis 3 x plus 4 right parenthesis to the power of 3 over 2 end exponent plus 16 over 135 left parenthesis 3 x plus 4 right parenthesis to the power of 5 over 2 end exponent plus C

  2. 8 x squared left parenthesis 3 x plus 4 right parenthesis to the power of 1 half end exponent minus 8 over 9 left parenthesis 3 x plus 4 right parenthesis to the power of 3 over 2 end exponent plus left parenthesis 3 x plus 4 right parenthesis to the power of 5 over 2 end exponent plus C

  3. 8 x squared left parenthesis 3 x plus 4 right parenthesis to the power of 1 half end exponent plus 8 over 9 left parenthesis 3 x plus 4 right parenthesis to the power of 3 over 2 end exponent plus 16 over 135 left parenthesis 3 x plus 4 right parenthesis to the power of 5 over 2 end exponent plus C

  4. x squared left parenthesis 3 x plus 4 right parenthesis to the power of 1 half end exponent minus 8 over 9 left parenthesis 3 x plus 4 right parenthesis to the power of 3 over 2 end exponent plus 16 over 135 left parenthesis 3 x plus 4 right parenthesis to the power of 5 over 2 end exponent plus C

  5. 8 x squared left parenthesis 3 x plus 4 right parenthesis to the power of 1 half end exponent minus 8 over 9 left parenthesis 3 x plus 4 right parenthesis to the power of 3 over 2 end exponent minus 16 over 135 left parenthesis 3 x plus 4 right parenthesis to the power of 5 over 2 end exponent plus C

Ikuti Tryout SNBT & Menangkan E-Wallet 100rb

Habis dalam

01

:

11

:

58

:

18

Klaim

Iklan

A. C

Master Teacher

Jawaban terverifikasi

Pembahasan

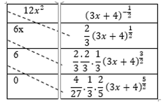
Bentuk pada soal dapat ditulis Dengan menggunakan tabel integral parsial Hasilnya adalah

Bentuk pada soal dapat ditulis integral 12 x squared left parenthesis 3 x plus 4 right parenthesis to the power of negative 1 half end exponent d x

Dengan menggunakan tabel integral parsial

Hasilnya adalah

8 x squared left parenthesis 3 x plus 4 right parenthesis to the power of 1 half end exponent minus 8 over 9 left parenthesis 3 x plus 4 right parenthesis to the power of 3 over 2 end exponent plus 16 over 135 left parenthesis 3 x plus 4 right parenthesis to the power of 5 over 2 end exponent plus C

Perdalam pemahamanmu bersama Master Teacher
di sesi Live Teaching, GRATIS!

1

Iklan

Pertanyaan serupa

Hasil dari ∫ 3 x + 4 ​ 3 x 2 ​ d x adalah...

1

0.0

Jawaban terverifikasi

RUANGGURU HQ

Jl. Dr. Saharjo No.161, Manggarai Selatan, Tebet, Kota Jakarta Selatan, Daerah Khusus Ibukota Jakarta 12860

Coba GRATIS Aplikasi Roboguru

Coba GRATIS Aplikasi Ruangguru

Download di Google PlayDownload di AppstoreDownload di App Gallery

Produk Ruangguru

Hubungi Kami

Ruangguru WhatsApp

+62 815-7441-0000

Email info@ruangguru.com

[email protected]

Contact 02130930000

02130930000

Ikuti Kami

©2025 Ruangguru. All Rights Reserved PT. Ruang Raya Indonesia