Iklan

Pertanyaan

Gas oksigen difluorida ( OF 2 ​ ) disintesis dari reaksi antara gas F 2 ​ dengan gas O 2 ​ menurut reaksi berikut: 2 F 2 ​ ( g ) + O 2 ​ ( g ) ⇌ 2 OF 2 ​ ( g ) Dalam sebuah wadah dengan volume tertentu, tekanan awal gas dan gas diketahui masing-masing 1 atm. Jika pada kesetimbangan tekanan total gas adalah 1,75 atm, maka nilai K p ​ reaksi tersebut adalah… (SBMPTN 2016)

Gas oksigen difluorida () disintesis dari reaksi antara gas  dengan gas  menurut reaksi berikut:

 

Dalam sebuah wadah dengan volume tertentu, tekanan awal gas begin mathsize 14px style F subscript 2 end style dan gas undefined diketahui masing-masing 1 atm. Jika pada kesetimbangan tekanan total gas adalah 1,75 atm, maka nilai  reaksi tersebut adalah…

(SBMPTN 2016)space 

  1. 0,133

  2. 0,278

  3. 0,555

  4. 0,755

  5. 1,333

Ikuti Tryout SNBT & Menangkan E-Wallet 100rb

Habis dalam

02

:

16

:

12

:

27

Klaim

Iklan

S. Ibabas

Master Teacher

Jawaban terverifikasi

Jawaban

jawaban yang benar adalah E.

jawaban yang benar adalah E.undefined 

Pembahasan

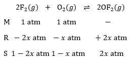
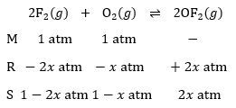
Diketahui: P = 1 atm P = 1 atm P total = 1,75 atm Ditanyakan: ? Jawab: Buat persamaan stoikiometri dengan menggunakan variabel sebanding dengan koefisien. Berdasarkan stoikiometri di atas, dapat diketahui nilai x dari persamaan tekanan total yaitu: Dengan demikian, nilai dapat dihitung sebagai berikut: Berdasarkan perhitungan,nilai reaksi adalah 1,333. Jadi, jawaban yang benar adalah E .

Diketahui:

begin mathsize 14px style F subscript 2 end style = 1 atm

P undefined = 1 atm 

P total = 1,75 atm

 

Ditanyakan:

begin mathsize 14px style K subscript p end style

 

Jawab:

Buat persamaan stoikiometri dengan menggunakan variabel sebanding dengan koefisien. 

 

Berdasarkan stoikiometri di atas, dapat diketahui nilai x dari persamaan tekanan total yaitu:

Error converting from MathML to accessible text. 

Dengan demikian, nilai begin mathsize 14px style K subscript p end style dapat dihitung sebagai berikut:

Error converting from MathML to accessible text. 

Berdasarkan perhitungan, nilai begin mathsize 14px style K subscript p end style reaksi adalah 1,333.

 

Jadi, jawaban yang benar adalah E.undefined 

Perdalam pemahamanmu bersama Master Teacher
di sesi Live Teaching, GRATIS!

1

Iklan

Pertanyaan serupa

Pada suhu dan volume tertentu 240 gram gas SO 3 ​ (Mr = 80) terurai menjadi SO 2 ​ ( g ) dan O 2 ​ ( g ) . Jika derajat disosiasi adalah 2/3 dan tekanan total gas setelah tercapai kesetimbangan adalah...

6

5.0

Jawaban terverifikasi

RUANGGURU HQ

Jl. Dr. Saharjo No.161, Manggarai Selatan, Tebet, Kota Jakarta Selatan, Daerah Khusus Ibukota Jakarta 12860

Coba GRATIS Aplikasi Roboguru

Coba GRATIS Aplikasi Ruangguru

Download di Google PlayDownload di AppstoreDownload di App Gallery

Produk Ruangguru

Hubungi Kami

Ruangguru WhatsApp

+62 815-7441-0000

Email info@ruangguru.com

[email protected]

Contact 02130930000

02130930000

Ikuti Kami

©2026 Ruangguru. All Rights Reserved PT. Ruang Raya Indonesia