Iklan

Pertanyaan

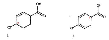
Gambar di atas merupakan isomer molekul C 7 ​ H 7 ​ O 2 ​ Cl . Isomer yang bersifat optis aktif adalah … (SBMPTN 2018)

 

Gambar di atas merupakan isomer molekul . Isomer yang bersifat optis aktif adalah …space 

(SBMPTN 2018)

  1. 1, 2undefined 

  2. 1, 2, 3undefined 

  3. 2, 3, 5undefined 

  4. 2, 4, 5

  5. 1, 3undefined 

Ikuti Tryout SNBT & Menangkan E-Wallet 100rb

Habis dalam

02

:

22

:

21

:

16

Klaim

Iklan

S. Ibabas

Master Teacher

Jawaban terverifikasi

Pembahasan

Isomer optis aktif adalah isomer yang terjadi pada atom C kiral.Atom C kiral adalah atom C yang keempat elektron valensinya berikatan dengan atom yang berbeda. Pada senyawa isomer di atas, atom C kiral terdapat pada struktur 1 dan 3 (ditandai dengan bintang merah pada gambar di bawah). Jadi, jawaban yang benar adalah E .

Isomer optis aktif adalah isomer yang terjadi pada atom C kiral. Atom C kiral adalah atom C yang keempat elektron valensinya berikatan dengan atom yang berbeda. Pada senyawa isomer di atas, atom C kiral terdapat pada struktur 1 dan 3 (ditandai dengan bintang merah pada gambar di bawah). 

 

 

Jadi, jawaban yang benar adalah E.undefined 

 

Perdalam pemahamanmu bersama Master Teacher
di sesi Live Teaching, GRATIS!

2

Rifdah Hansya Ropipah

Jawaban tidak sesuai

Iklan

Pertanyaan serupa

Senyawa berikut yang bersifat optis aktif adalah .... (SBMPTN 2018)

2

5.0

Jawaban terverifikasi

RUANGGURU HQ

Jl. Dr. Saharjo No.161, Manggarai Selatan, Tebet, Kota Jakarta Selatan, Daerah Khusus Ibukota Jakarta 12860

Coba GRATIS Aplikasi Roboguru

Coba GRATIS Aplikasi Ruangguru

Download di Google PlayDownload di AppstoreDownload di App Gallery

Produk Ruangguru

Hubungi Kami

Ruangguru WhatsApp

+62 815-7441-0000

Email info@ruangguru.com

[email protected]

Contact 02130930000

02130930000

Ikuti Kami

©2026 Ruangguru. All Rights Reserved PT. Ruang Raya Indonesia